mp-12454/ErCuS2/anharm

Harmonic properties

../../_images/fig_bandos_pr15637.png

(a) Phonon dispersion with participation ratio and DOS

../../_images/fig_thermo15636.png

(b) Thermodynamic properties

Grüneisen parameters

../../_images/fig_gru_all6760.png

(a) Grüneisen parameters

../../_images/fig_gruneisen6760.png

(b) Phonon dispersion with Grüneisen parameters

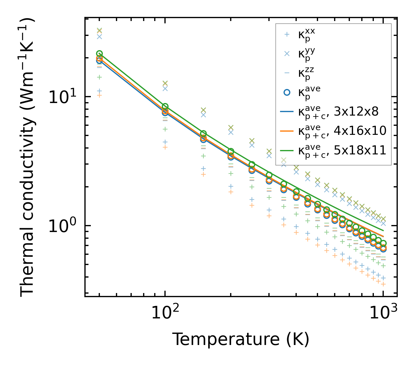
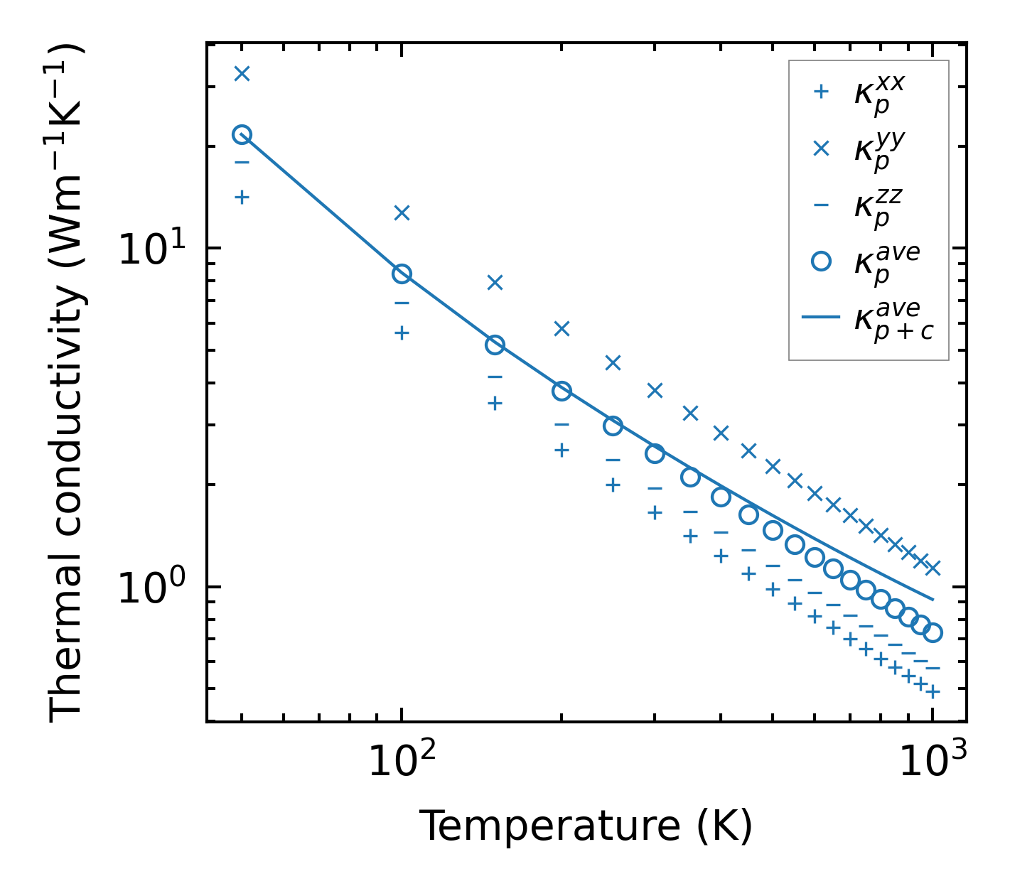
Thermal conductivity

3-phonon (LASSO) — q-mesh: 5x18x11, supercell: 1x4x2

../../_images/fig_kappa12732.png

(a) Temperature-dependent lattice thermal conductivity

../../_images/fig_kappa_vs_grain_size6840.png

(b) Peierls lattice thermal conductivity w.r.t grain size

Phonon lifetime and scattering rates

../../_images/fig_lifetime6694.png

(a) Phonon lifetime due to phonon-phonon scattering

../../_images/fig_scat_rates6693.png

(b) Phonon scattering rates

Cumulative and spectral thermal conductivity

../../_images/fig_cumu_frequency6694.png

(a) Spectral and cumulative thermal conductivity w.r.t frequency

../../_images/fig_cumu_mfp6693.png

(b) Spectral and cumulative thermal conductivity w.r.t MFP

Force constants

../../_images/fig_fc215232.png

(a) Force constants w.r.t atomic distance

Summary

../../_images/fig_kappa12733.png

(a) Temperature-dependent lattice thermal conductivity

../../_images/fig_times25811.png

(b) Computation time