mp-12453/HoCuS2/anharm

Equation of state

../../_images/fig_bm7636.png

(a) Equation of state

Harmonic properties

../../_images/fig_bandos_pr15635.png

(a) Phonon dispersion with participation ratio and DOS

../../_images/fig_thermo15634.png

(b) Thermodynamic properties

Grüneisen parameters

../../_images/fig_gru_all6758.png

(a) Grüneisen parameters

../../_images/fig_gruneisen6758.png

(b) Phonon dispersion with Grüneisen parameters

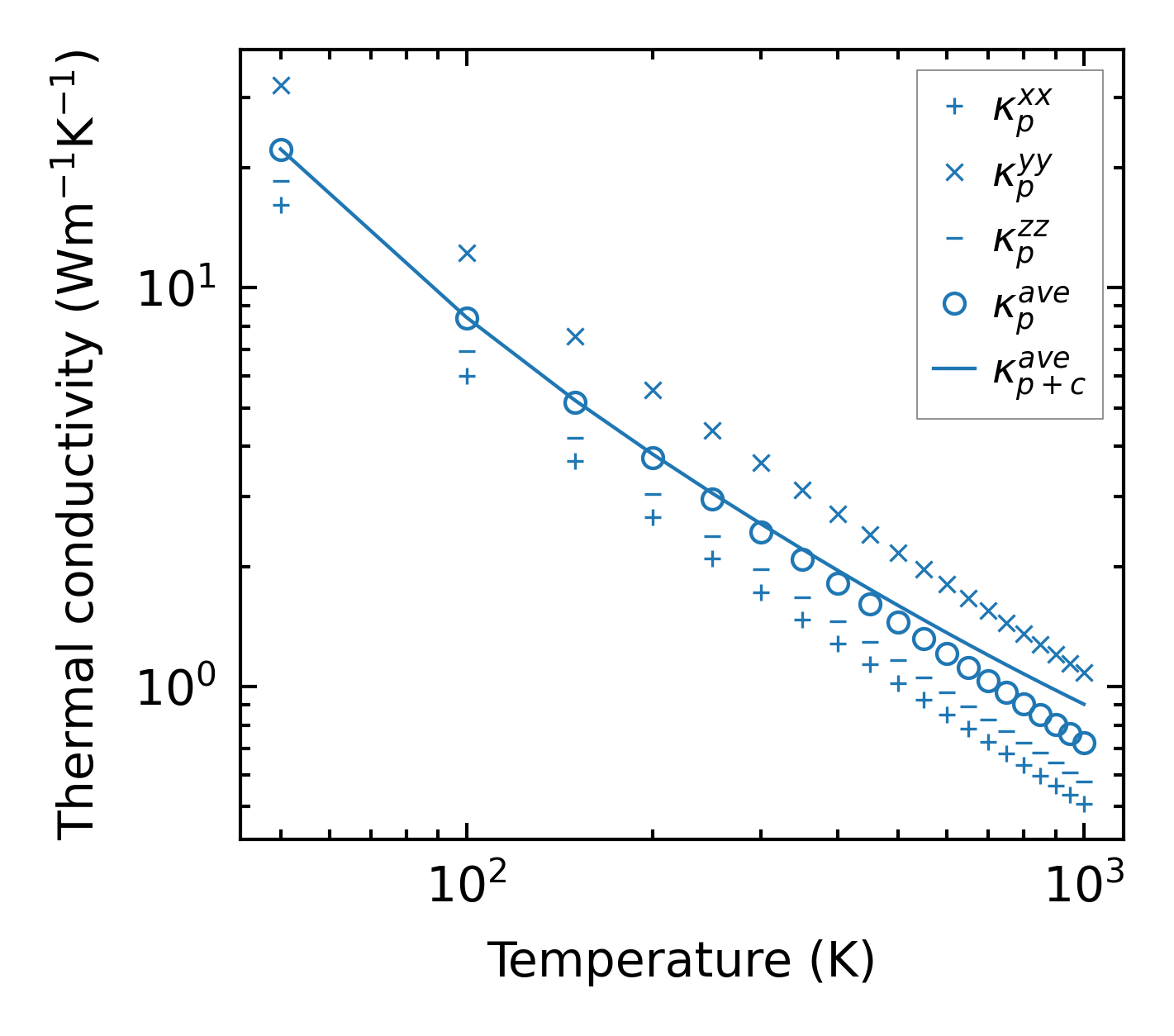
Thermal conductivity

3-phonon (LASSO) — q-mesh: 5x18x11, supercell: 1x4x2

../../_images/fig_kappa12728.png

(a) Temperature-dependent lattice thermal conductivity

../../_images/fig_kappa_vs_grain_size6838.png

(b) Peierls lattice thermal conductivity w.r.t grain size

Phonon lifetime and scattering rates

../../_images/fig_lifetime6692.png

(a) Phonon lifetime due to phonon-phonon scattering

../../_images/fig_scat_rates6691.png

(b) Phonon scattering rates

Cumulative and spectral thermal conductivity

../../_images/fig_cumu_frequency6692.png

(a) Spectral and cumulative thermal conductivity w.r.t frequency

../../_images/fig_cumu_mfp6691.png

(b) Spectral and cumulative thermal conductivity w.r.t MFP

Force constants

../../_images/fig_fc215230.png

(a) Force constants w.r.t atomic distance

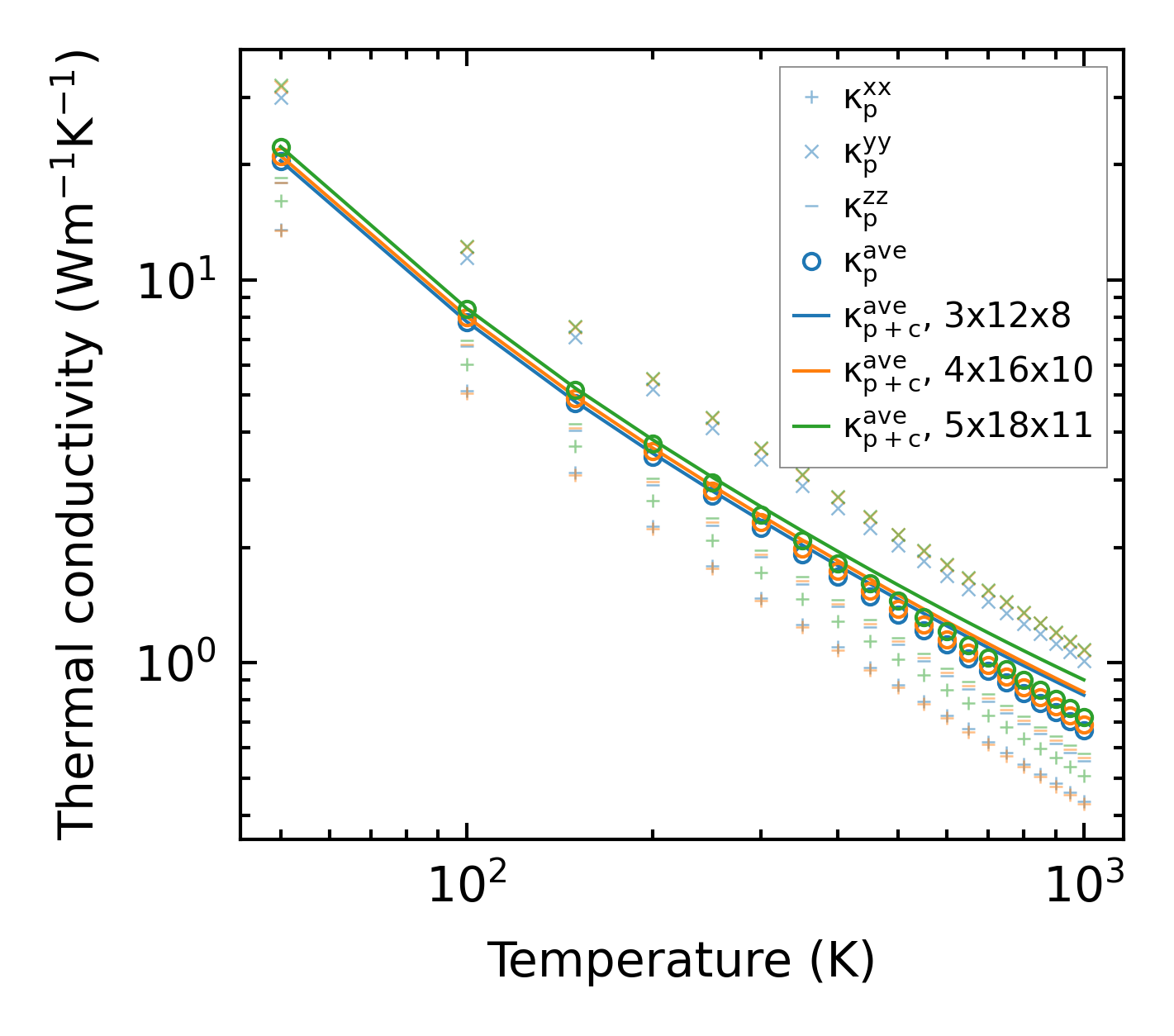
Summary

../../_images/fig_kappa12729.png

(a) Temperature-dependent lattice thermal conductivity

../../_images/fig_times25809.png

(b) Computation time