mp-12622-2/SrPdF4/anharm

Harmonic properties

../../_images/fig_bandos_pr15669.png

(a) Phonon dispersion with participation ratio and DOS

../../_images/fig_thermo15668.png

(b) Thermodynamic properties

Grüneisen parameters

../../_images/fig_gru_all6784.png

(a) Grüneisen parameters

../../_images/fig_gruneisen6784.png

(b) Phonon dispersion with Grüneisen parameters

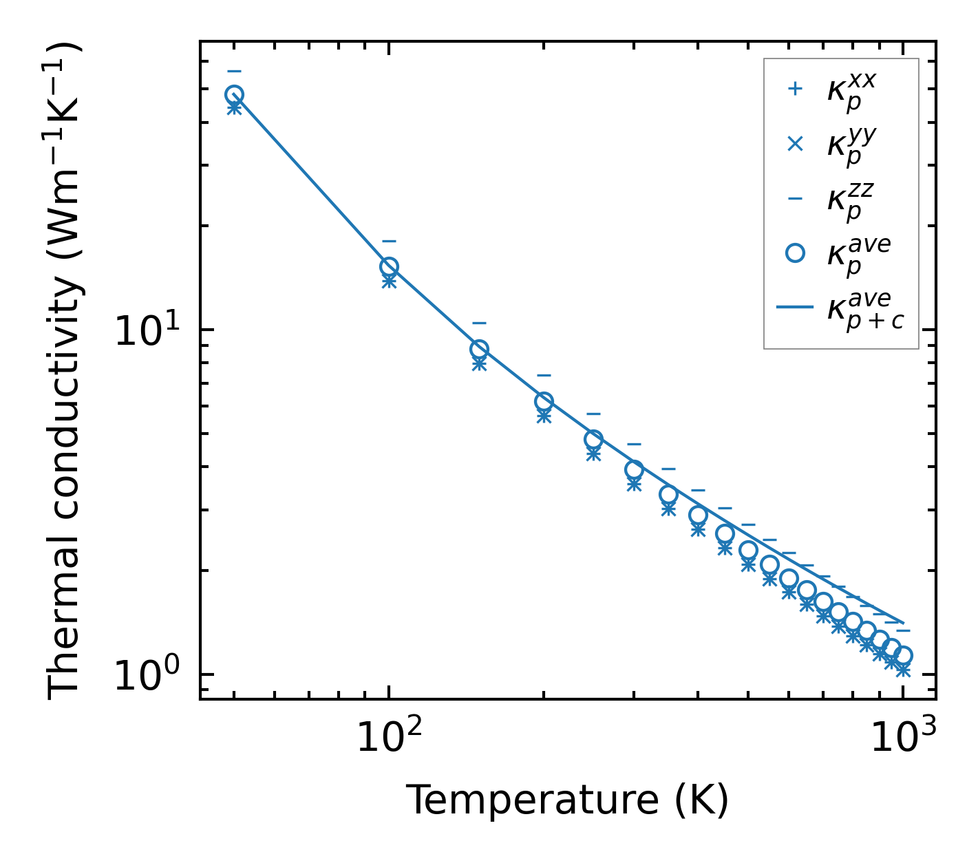
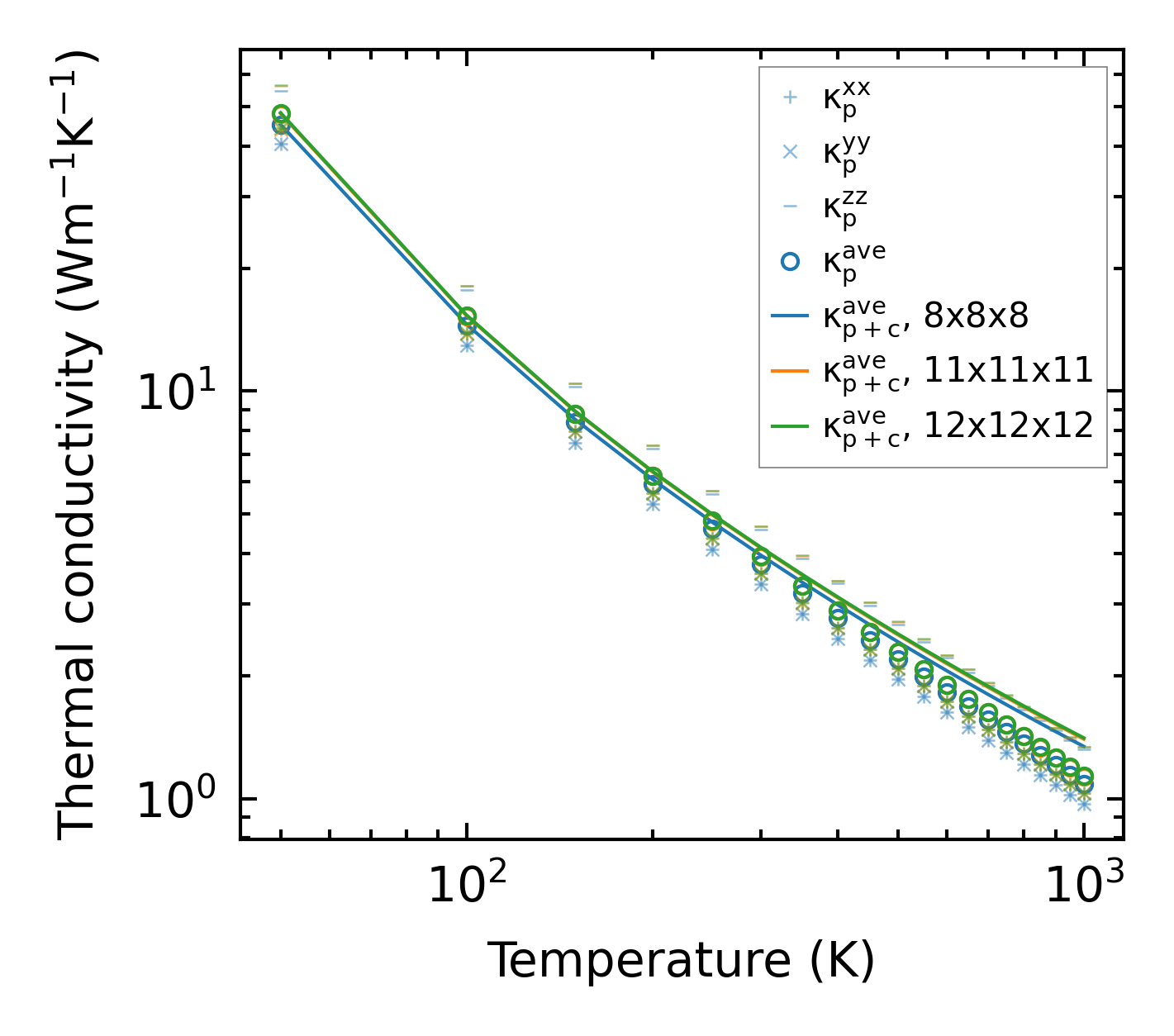
Thermal conductivity

3-phonon (LASSO) — q-mesh: 12x12x12, supercell: 2x2x1

../../_images/fig_kappa12779.png

(a) Temperature-dependent lattice thermal conductivity

../../_images/fig_kappa_vs_grain_size6864.png

(b) Peierls lattice thermal conductivity w.r.t grain size

Phonon lifetime and scattering rates

../../_images/fig_lifetime6718.png

(a) Phonon lifetime due to phonon-phonon scattering

../../_images/fig_scat_rates6717.png

(b) Phonon scattering rates

Cumulative and spectral thermal conductivity

../../_images/fig_cumu_frequency6718.png

(a) Spectral and cumulative thermal conductivity w.r.t frequency

../../_images/fig_cumu_mfp6717.png

(b) Spectral and cumulative thermal conductivity w.r.t MFP

Force constants

../../_images/fig_fc215264.png

(a) Force constants w.r.t atomic distance

Summary

../../_images/fig_kappa12780.png

(a) Temperature-dependent lattice thermal conductivity

../../_images/fig_times25846.png

(b) Computation time