mp-12427/Sr2TaGaO6/harm

Harmonic properties

../../_images/fig_bandos_pr15622.png

(a) Phonon dispersion with participation ratio and DOS

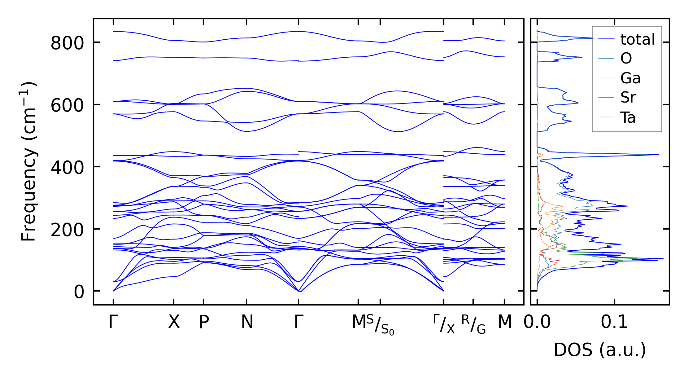
../../_images/fig_bandos20028.png

(b) Phonon dispersion and DOS

../../_images/fig_thermo15621.png

(c) Thermodynamic properties

Force constants

../../_images/fig_fc215217.png

(a) Force constants w.r.t atomic distance

Summary

../../_images/fig_times25792.png

(a) Computation time