mp-12492/CsLuCdTe3/anharm

Equation of state

../../_images/fig_bm7640.png

(a) Equation of state

Harmonic properties

../../_images/fig_bandos_pr15649.png

(a) Phonon dispersion with participation ratio and DOS

../../_images/fig_thermo15648.png

(b) Thermodynamic properties

Grüneisen parameters

../../_images/fig_gru_all6768.png

(a) Grüneisen parameters

../../_images/fig_gruneisen6768.png

(b) Phonon dispersion with Grüneisen parameters

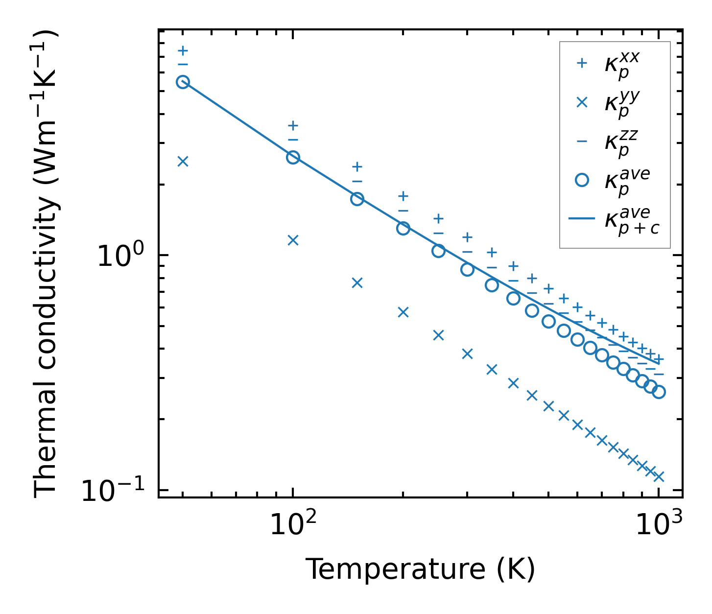
Thermal conductivity

3-phonon (LASSO) — q-mesh: 10x10x7, supercell: 3x1x2

../../_images/fig_kappa12747.png

(a) Temperature-dependent lattice thermal conductivity

../../_images/fig_kappa_vs_grain_size6848.png

(b) Peierls lattice thermal conductivity w.r.t grain size

Phonon lifetime and scattering rates

../../_images/fig_lifetime6702.png

(a) Phonon lifetime due to phonon-phonon scattering

../../_images/fig_scat_rates6701.png

(b) Phonon scattering rates

Cumulative and spectral thermal conductivity

../../_images/fig_cumu_frequency6702.png

(a) Spectral and cumulative thermal conductivity w.r.t frequency

../../_images/fig_cumu_mfp6701.png

(b) Spectral and cumulative thermal conductivity w.r.t MFP

Force constants

../../_images/fig_fc215244.png

(a) Force constants w.r.t atomic distance

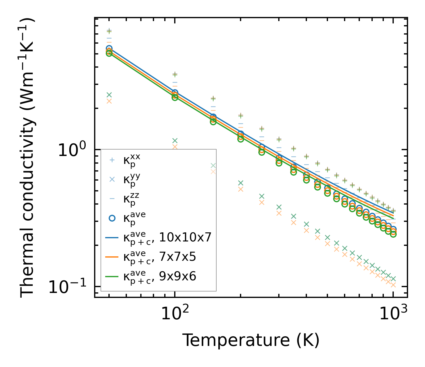
Summary

../../_images/fig_kappa12748.png

(a) Temperature-dependent lattice thermal conductivity

../../_images/fig_times25823.png

(b) Computation time