mp-12843-2/YCuS2/anharm

Harmonic properties

../../_images/fig_bandos_pr15705.png

(a) Phonon dispersion with participation ratio and DOS

../../_images/fig_thermo15704.png

(b) Thermodynamic properties

Grüneisen parameters

../../_images/fig_gru_all6801.png

(a) Grüneisen parameters

../../_images/fig_gruneisen6801.png

(b) Phonon dispersion with Grüneisen parameters

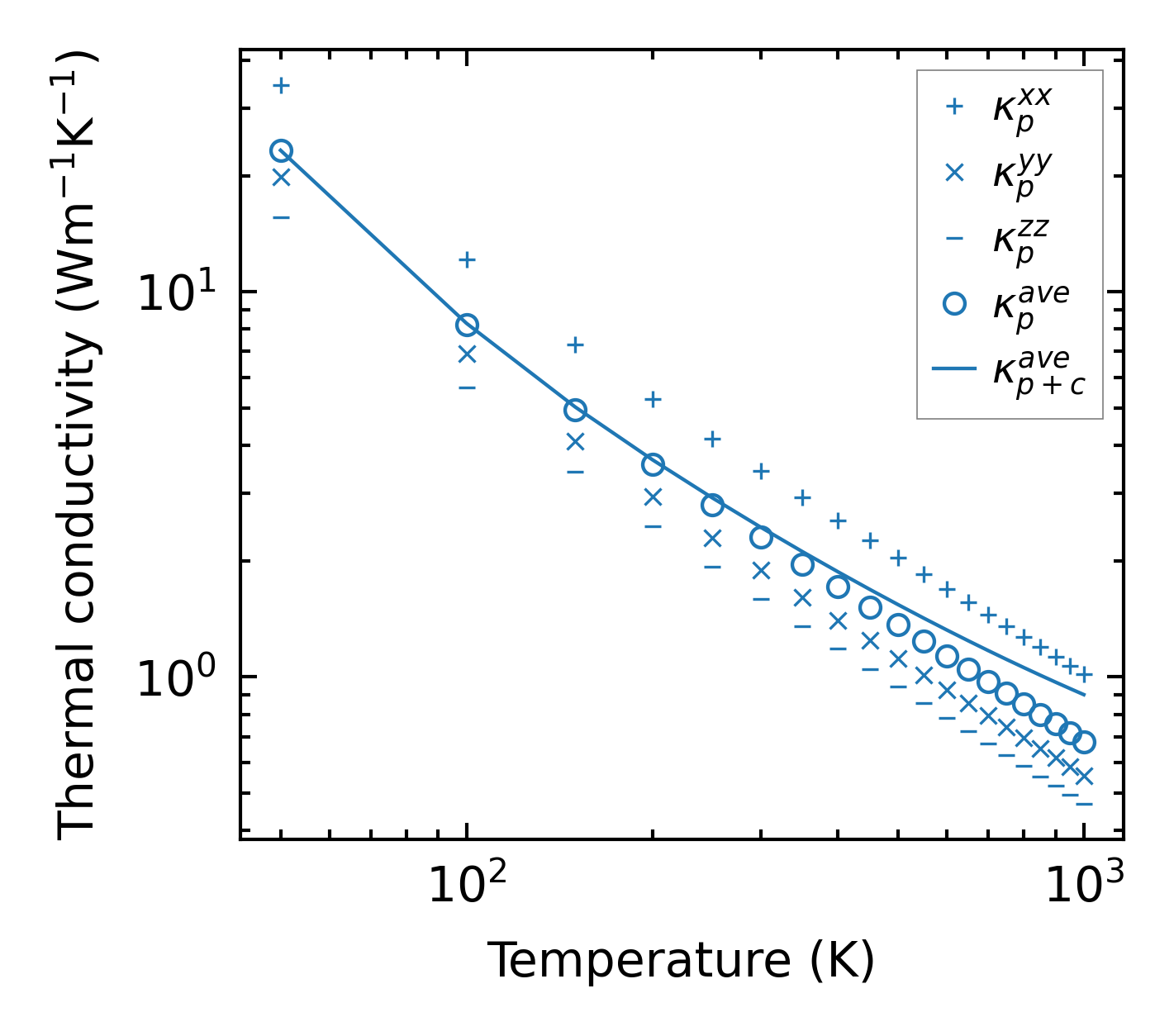
Thermal conductivity

3-phonon (LASSO) — q-mesh: 18x11x5, supercell: 4x2x1

../../_images/fig_kappa12813.png

(a) Temperature-dependent lattice thermal conductivity

../../_images/fig_kappa_vs_grain_size6881.png

(b) Peierls lattice thermal conductivity w.r.t grain size

Phonon lifetime and scattering rates

../../_images/fig_lifetime6735.png

(a) Phonon lifetime due to phonon-phonon scattering

../../_images/fig_scat_rates6734.png

(b) Phonon scattering rates

Cumulative and spectral thermal conductivity

../../_images/fig_cumu_frequency6735.png

(a) Spectral and cumulative thermal conductivity w.r.t frequency

../../_images/fig_cumu_mfp6734.png

(b) Spectral and cumulative thermal conductivity w.r.t MFP

Force constants

../../_images/fig_fc215300.png

(a) Force constants w.r.t atomic distance

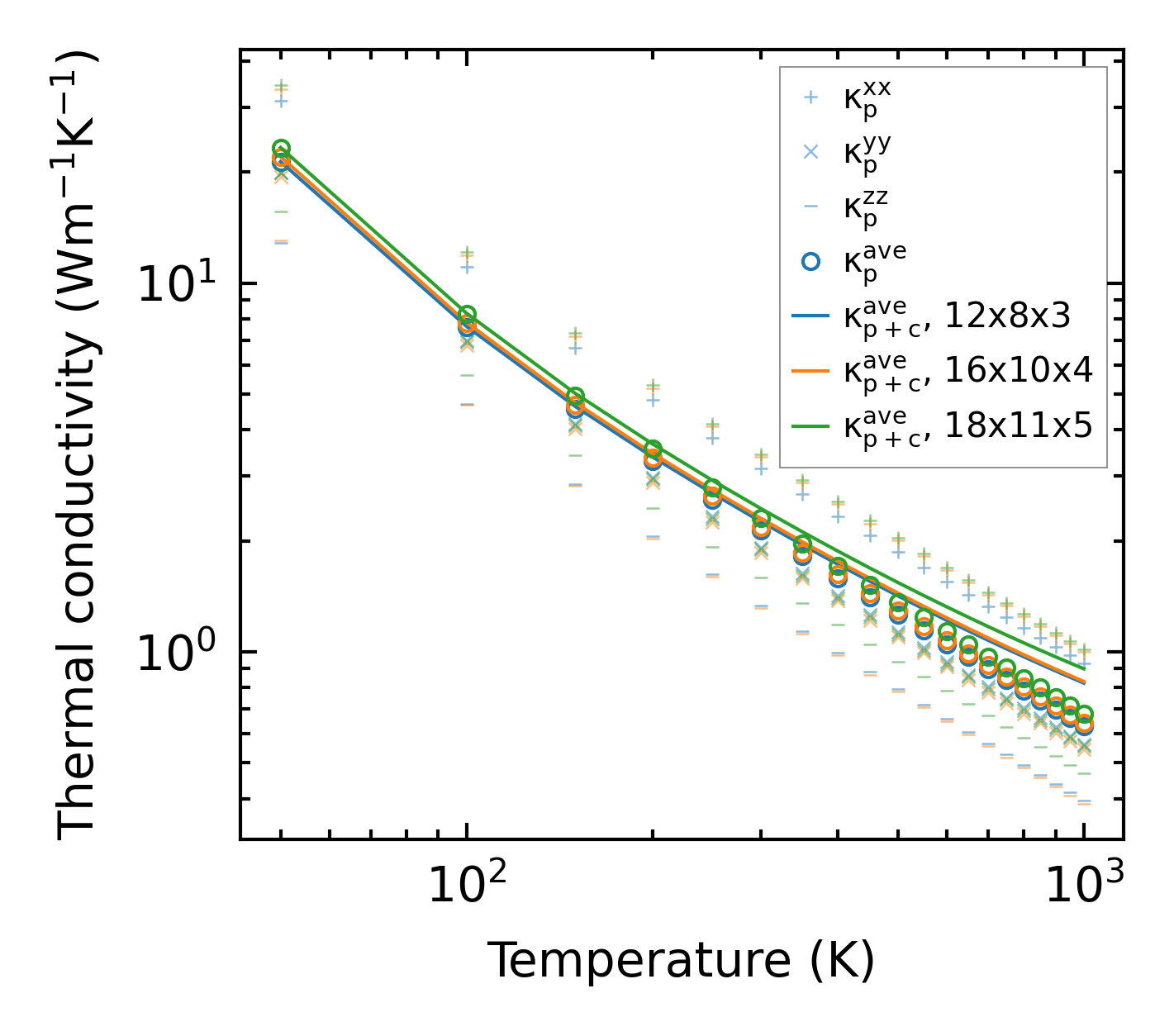
Summary

../../_images/fig_kappa12814.png

(a) Temperature-dependent lattice thermal conductivity

../../_images/fig_times25886.png

(b) Computation time