mp-556986/Er2B2Cl2O5/anharm

Harmonic properties

../../_images/fig_bandos_pr8343.png

(a) Phonon dispersion with participation ratio and DOS

../../_images/fig_thermo8343.png

(b) Thermodynamic properties

Grüneisen parameters

../../_images/fig_gru_all3401.png

(a) Grüneisen parameters

../../_images/fig_gruneisen3401.png

(b) Phonon dispersion with Grüneisen parameters

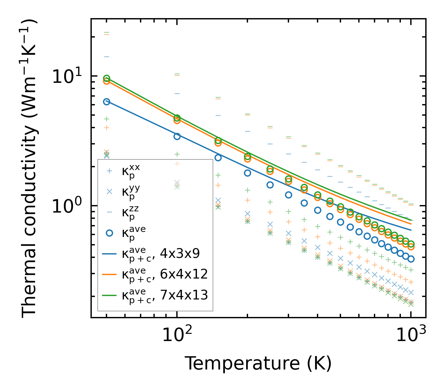
Thermal conductivity

3-phonon (LASSO) — q-mesh: 7x4x13, supercell: 1x1x2

../../_images/fig_kappa6433.png

(a) Temperature-dependent lattice thermal conductivity

../../_images/fig_kappa_vs_grain_size3445.png

(b) Peierls lattice thermal conductivity w.r.t grain size

Phonon lifetime and scattering rates

../../_images/fig_lifetime3370.png

(a) Phonon lifetime due to phonon-phonon scattering

../../_images/fig_scat_rates3369.png

(b) Phonon scattering rates

Cumulative and spectral thermal conductivity

../../_images/fig_cumu_frequency3370.png

(a) Spectral and cumulative thermal conductivity w.r.t frequency

../../_images/fig_cumu_mfp3369.png

(b) Spectral and cumulative thermal conductivity w.r.t MFP

Force constants

../../_images/fig_fc28105.png

(a) Force constants w.r.t atomic distance

Summary

../../_images/fig_kappa6434.png

(a) Temperature-dependent lattice thermal conductivity

../../_images/fig_times14655.png

(b) Computation time