mp-556906/Na3LiBe2F8/anharm

Harmonic properties

../../_images/fig_bandos_pr8327.png

(a) Phonon dispersion with participation ratio and DOS

../../_images/fig_thermo8327.png

(b) Thermodynamic properties

Grüneisen parameters

../../_images/fig_gru_all3394.png

(a) Grüneisen parameters

../../_images/fig_gruneisen3394.png

(b) Phonon dispersion with Grüneisen parameters

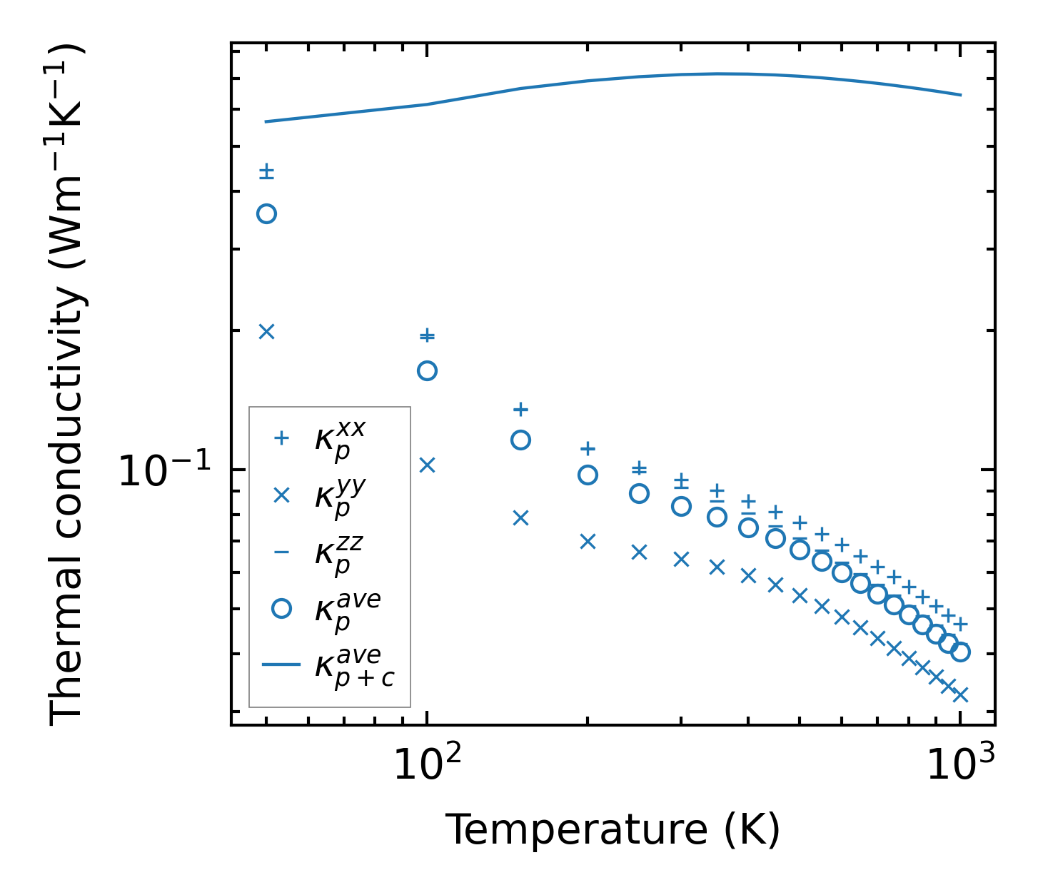
Thermal conductivity

3-phonon (LASSO) — q-mesh: 11x7x7, supercell: 2x1x1

../../_images/fig_kappa6421.png

(a) Temperature-dependent lattice thermal conductivity

../../_images/fig_kappa_vs_grain_size3438.png

(b) Peierls lattice thermal conductivity w.r.t grain size

Phonon lifetime and scattering rates

../../_images/fig_lifetime3363.png

(a) Phonon lifetime due to phonon-phonon scattering

../../_images/fig_scat_rates3362.png

(b) Phonon scattering rates

Cumulative and spectral thermal conductivity

../../_images/fig_cumu_frequency3363.png

(a) Spectral and cumulative thermal conductivity w.r.t frequency

../../_images/fig_cumu_mfp3362.png

(b) Spectral and cumulative thermal conductivity w.r.t MFP

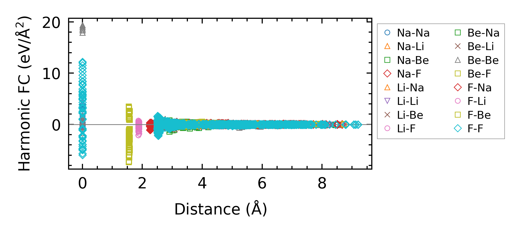
Force constants

../../_images/fig_fc28089.png

(a) Force constants w.r.t atomic distance

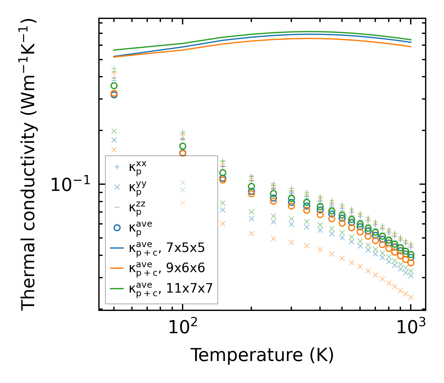
Summary

../../_images/fig_kappa6422.png

(a) Temperature-dependent lattice thermal conductivity

../../_images/fig_times14634.png

(b) Computation time