mp-556872/RbCO2/anharm

Harmonic properties

../../_images/fig_bandos_pr8320.png

(a) Phonon dispersion with participation ratio and DOS

../../_images/fig_thermo8320.png

(b) Thermodynamic properties

Grüneisen parameters

../../_images/fig_gru_all3391.png

(a) Grüneisen parameters

../../_images/fig_gruneisen3391.png

(b) Phonon dispersion with Grüneisen parameters

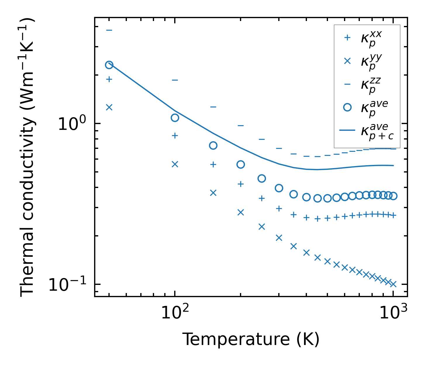
Thermal conductivity

3-phonon (LASSO) — q-mesh: 11x6x20, supercell: 2x1x4

../../_images/fig_kappa6415.png

(a) Temperature-dependent lattice thermal conductivity

../../_images/fig_kappa_vs_grain_size3435.png

(b) Peierls lattice thermal conductivity w.r.t grain size

Phonon lifetime and scattering rates

../../_images/fig_lifetime3360.png

(a) Phonon lifetime due to phonon-phonon scattering

../../_images/fig_scat_rates3359.png

(b) Phonon scattering rates

Cumulative and spectral thermal conductivity

../../_images/fig_cumu_frequency3360.png

(a) Spectral and cumulative thermal conductivity w.r.t frequency

../../_images/fig_cumu_mfp3359.png

(b) Spectral and cumulative thermal conductivity w.r.t MFP

Force constants

../../_images/fig_fc28082.png

(a) Force constants w.r.t atomic distance

Summary

../../_images/fig_kappa6416.png

(a) Temperature-dependent lattice thermal conductivity

../../_images/fig_times14619.png

(b) Computation time