mp-556356-2/Na2SrAl4Si4O16/harm

Equation of state

../../_images/fig_bm4310.png

(a) Equation of state

Harmonic properties

../../_images/fig_bandos_pr8507.png

(a) Phonon dispersion with participation ratio and DOS

../../_images/fig_bandos11956.png

(b) Phonon dispersion and DOS

../../_images/fig_thermo8507.png

(c) Thermodynamic properties

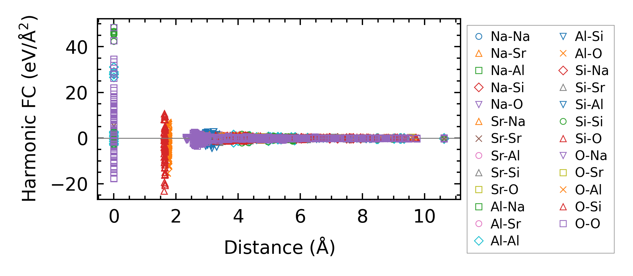
Force constants

../../_images/fig_fc28269.png

(a) Force constants w.r.t atomic distance

Summary

../../_images/fig_times14931.png

(a) Computation time