mp-556530/LaSc3B4O12/harm

Harmonic properties

../../_images/fig_bandos_pr8548.png

(a) Phonon dispersion with participation ratio and DOS

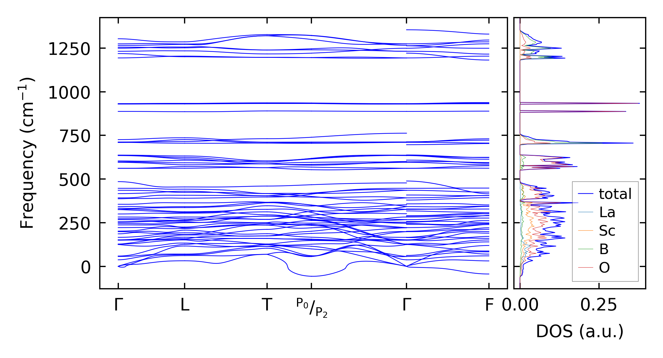
../../_images/fig_bandos12016.png

(b) Phonon dispersion and DOS

../../_images/fig_thermo8548.png

(c) Thermodynamic properties

Force constants

../../_images/fig_fc28309.png

(a) Force constants w.r.t atomic distance

Summary

../../_images/fig_times15000.png

(a) Computation time