mp-556393-2/RbBe4B3O9/anharm

Equation of state

../../_images/fig_bm4313.png

(a) Equation of state

Harmonic properties

../../_images/fig_bandos_pr8518.png

(a) Phonon dispersion with participation ratio and DOS

../../_images/fig_bandos11972.png

(b) Phonon dispersion and DOS

../../_images/fig_thermo8518.png

(c) Thermodynamic properties

Grüneisen parameters

../../_images/fig_gru_all3467.png

(a) Grüneisen parameters

../../_images/fig_gruneisen3467.png

(b) Phonon dispersion with Grüneisen parameters

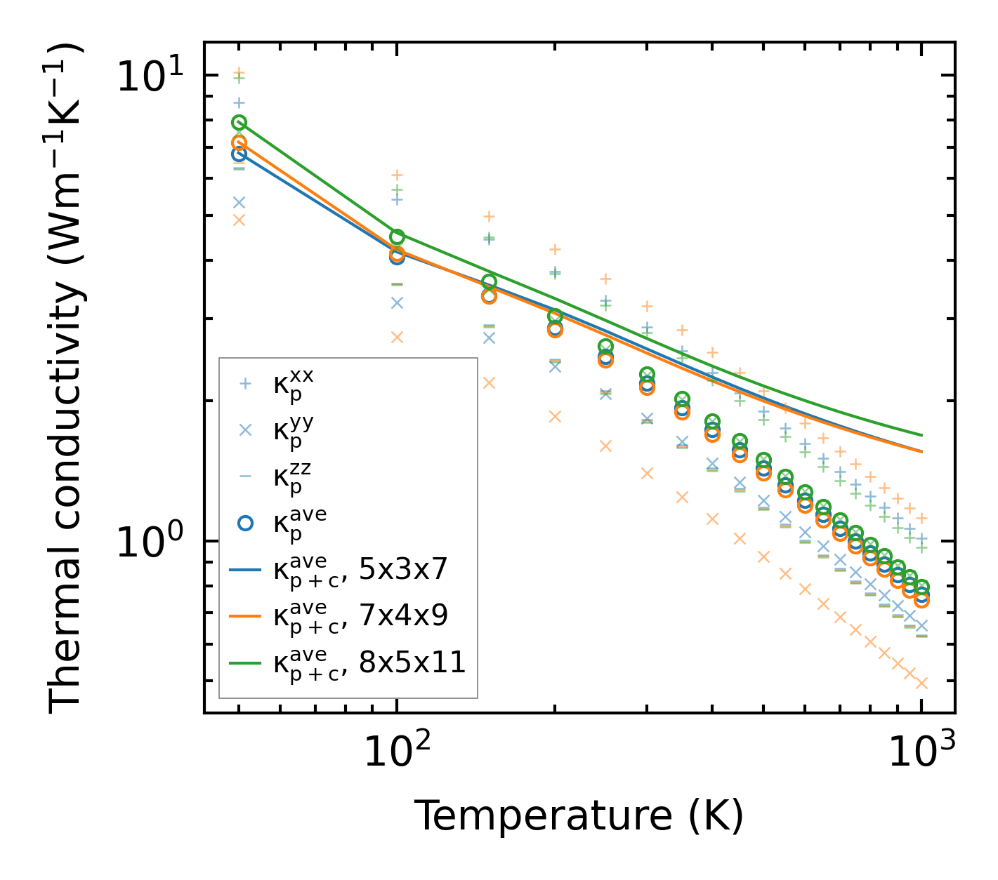
Thermal conductivity

3-phonon (LASSO) — q-mesh: 8x5x11, supercell: 1x1x2

../../_images/fig_kappa6559.png

(a) Temperature-dependent lattice thermal conductivity

../../_images/fig_kappa_vs_grain_size3511.png

(b) Peierls lattice thermal conductivity w.r.t grain size

Phonon lifetime and scattering rates

../../_images/fig_lifetime3435.png

(a) Phonon lifetime due to phonon-phonon scattering

../../_images/fig_scat_rates3434.png

(b) Phonon scattering rates

Cumulative and spectral thermal conductivity

../../_images/fig_cumu_frequency3435.png

(a) Spectral and cumulative thermal conductivity w.r.t frequency

../../_images/fig_cumu_mfp3434.png

(b) Spectral and cumulative thermal conductivity w.r.t MFP

Force constants

../../_images/fig_fc28280.png

(a) Force constants w.r.t atomic distance

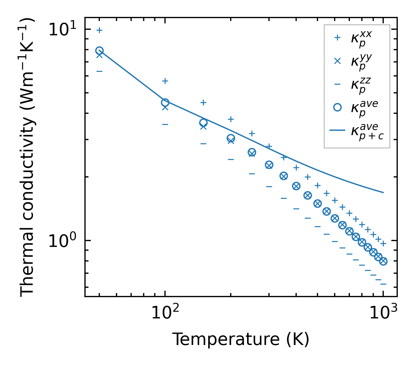
Summary

../../_images/fig_kappa6560.png

(a) Temperature-dependent lattice thermal conductivity

../../_images/fig_times14951.png

(b) Computation time