mp-556649/Li4Ga3Si3BrO12/anharm

Harmonic properties

../../_images/fig_bandos_pr8577.png

(a) Phonon dispersion with participation ratio and DOS

../../_images/fig_thermo8577.png

(b) Thermodynamic properties

Grüneisen parameters

../../_images/fig_gru_all3483.png

(a) Grüneisen parameters

../../_images/fig_gruneisen3483.png

(b) Phonon dispersion with Grüneisen parameters

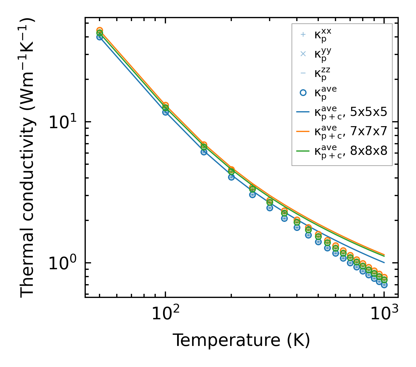
Thermal conductivity

3-phonon (LASSO) — q-mesh: 8x8x8, supercell: 1x1x1

../../_images/fig_kappa6587.png

(a) Temperature-dependent lattice thermal conductivity

../../_images/fig_kappa_vs_grain_size3527.png

(b) Peierls lattice thermal conductivity w.r.t grain size

Phonon lifetime and scattering rates

../../_images/fig_lifetime3451.png

(a) Phonon lifetime due to phonon-phonon scattering

../../_images/fig_scat_rates3450.png

(b) Phonon scattering rates

Cumulative and spectral thermal conductivity

../../_images/fig_cumu_frequency3451.png

(a) Spectral and cumulative thermal conductivity w.r.t frequency

../../_images/fig_cumu_mfp3450.png

(b) Spectral and cumulative thermal conductivity w.r.t MFP

Force constants

../../_images/fig_fc28338.png

(a) Force constants w.r.t atomic distance

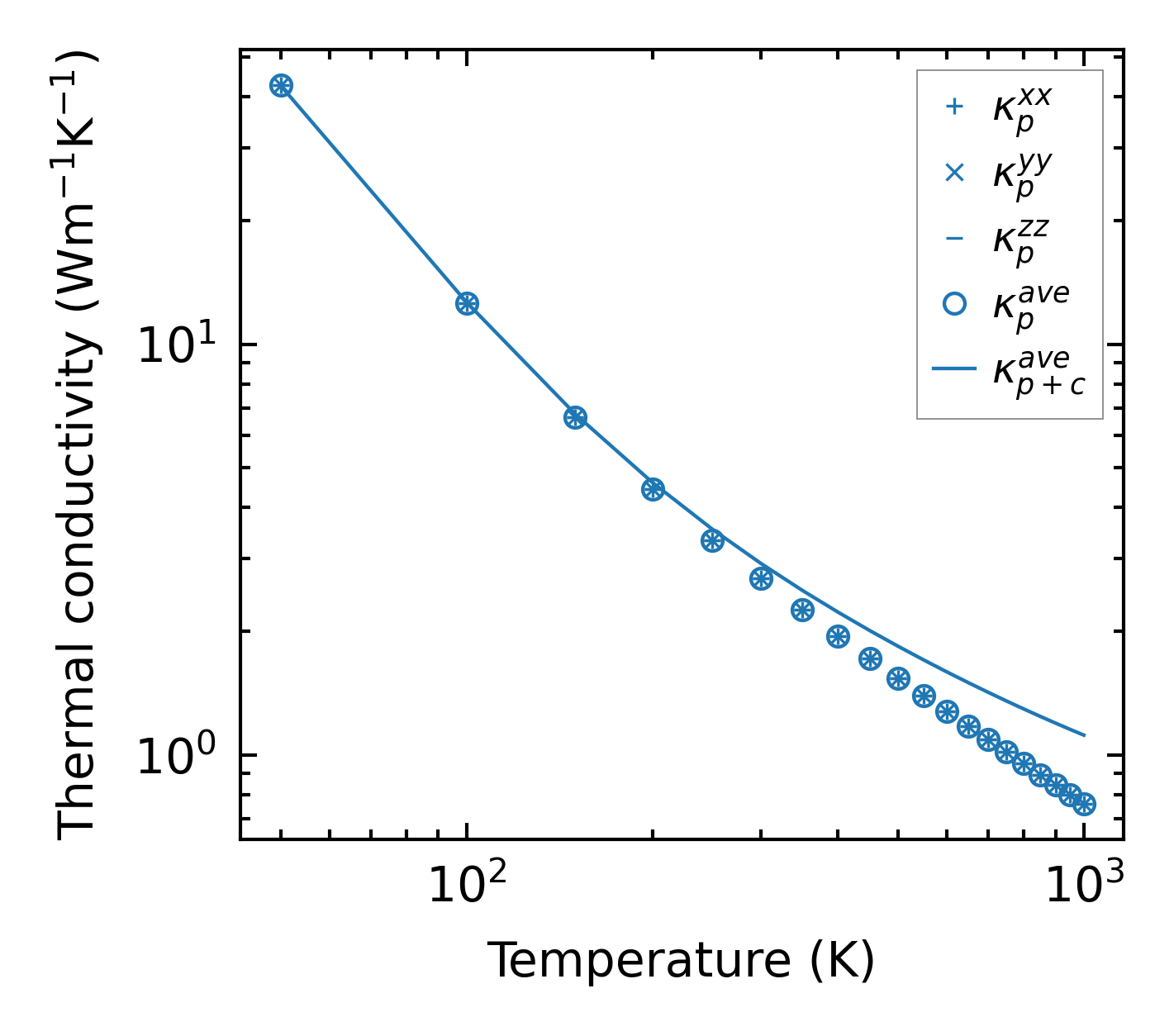
Summary

../../_images/fig_kappa6588.png

(a) Temperature-dependent lattice thermal conductivity

../../_images/fig_times15053.png

(b) Computation time