mp-556280-2/ZnS/anharm

Equation of state

../../_images/fig_bm4303.png

(a) Equation of state

Harmonic properties

../../_images/fig_bandos_pr8490.png

(a) Phonon dispersion with participation ratio and DOS

../../_images/fig_thermo8490.png

(b) Thermodynamic properties

Grüneisen parameters

../../_images/fig_gru_all3457.png

(a) Grüneisen parameters

../../_images/fig_gruneisen3457.png

(b) Phonon dispersion with Grüneisen parameters

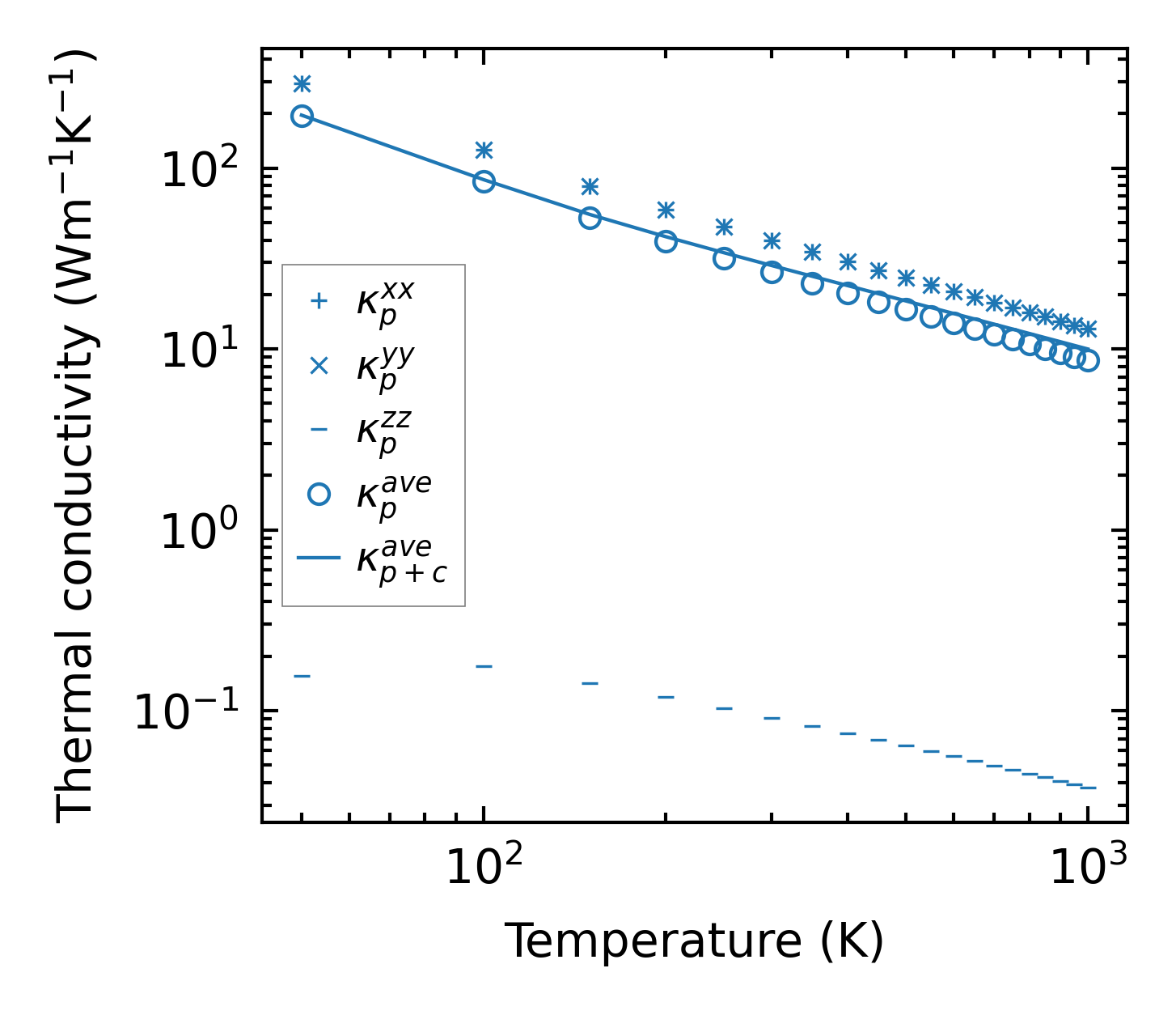
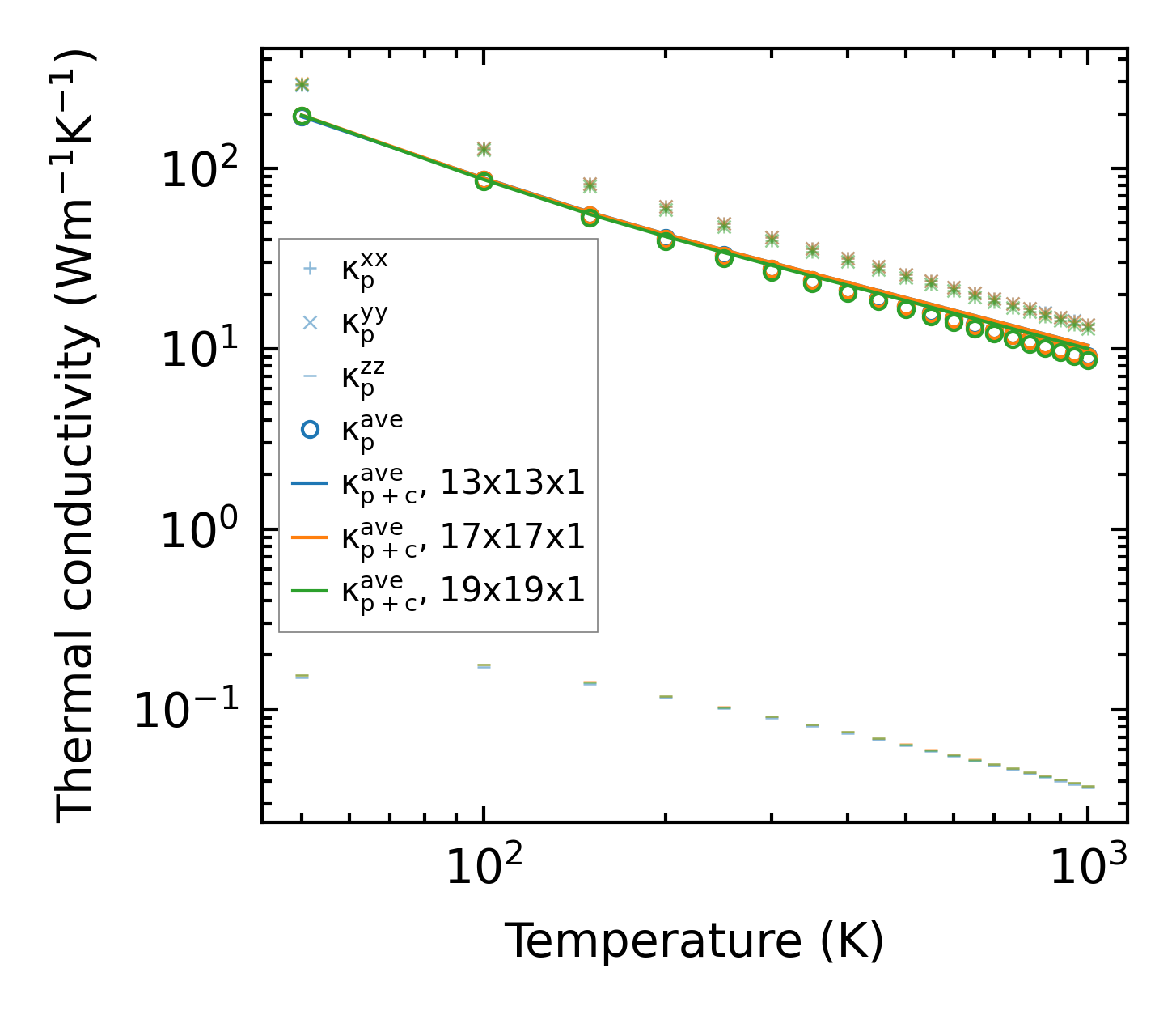
Thermal conductivity

3-phonon (LASSO) — q-mesh: 19x19x1, supercell: 1x1x1

../../_images/fig_kappa6540.png

(a) Temperature-dependent lattice thermal conductivity

../../_images/fig_kappa_vs_grain_size3501.png

(b) Peierls lattice thermal conductivity w.r.t grain size

Phonon lifetime and scattering rates

../../_images/fig_lifetime3425.png

(a) Phonon lifetime due to phonon-phonon scattering

../../_images/fig_scat_rates3424.png

(b) Phonon scattering rates

Cumulative and spectral thermal conductivity

../../_images/fig_cumu_frequency3425.png

(a) Spectral and cumulative thermal conductivity w.r.t frequency

../../_images/fig_cumu_mfp3424.png

(b) Spectral and cumulative thermal conductivity w.r.t MFP

Force constants

../../_images/fig_fc28252.png

(a) Force constants w.r.t atomic distance

Summary

../../_images/fig_kappa6541.png

(a) Temperature-dependent lattice thermal conductivity

../../_images/fig_times14900.png

(b) Computation time