mp-556178/BaAl2Ge2O8/harm

Equation of state

../../_images/fig_bm4291.png

(a) Equation of state

Harmonic properties

../../_images/fig_bandos_pr8468.png

(a) Phonon dispersion with participation ratio and DOS

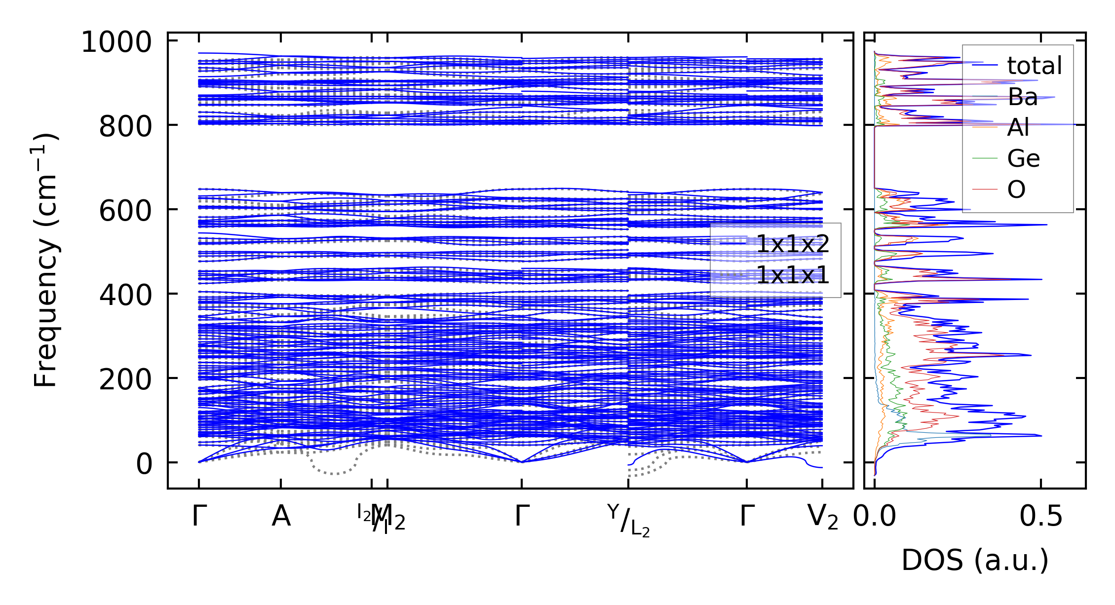
../../_images/fig_bandos11891.png

(b) Phonon dispersion and DOS

../../_images/fig_thermo8468.png

(c) Thermodynamic properties

Force constants

../../_images/fig_fc28230.png

(a) Force constants w.r.t atomic distance

Summary

../../_images/fig_times14857.png

(a) Computation time