mp-556870/MgAl2O4/anharm

Harmonic properties

../../_images/fig_bandos_pr8319.png

(a) Phonon dispersion with participation ratio and DOS

../../_images/fig_thermo8319.png

(b) Thermodynamic properties

Grüneisen parameters

../../_images/fig_gru_all3390.png

(a) Grüneisen parameters

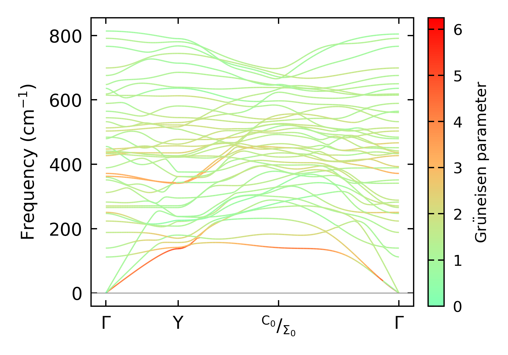
../../_images/fig_gruneisen3390.png

(b) Phonon dispersion with Grüneisen parameters

Thermal conductivity

3-phonon (LASSO) — q-mesh: 18x18x9, supercell: 4x1x1

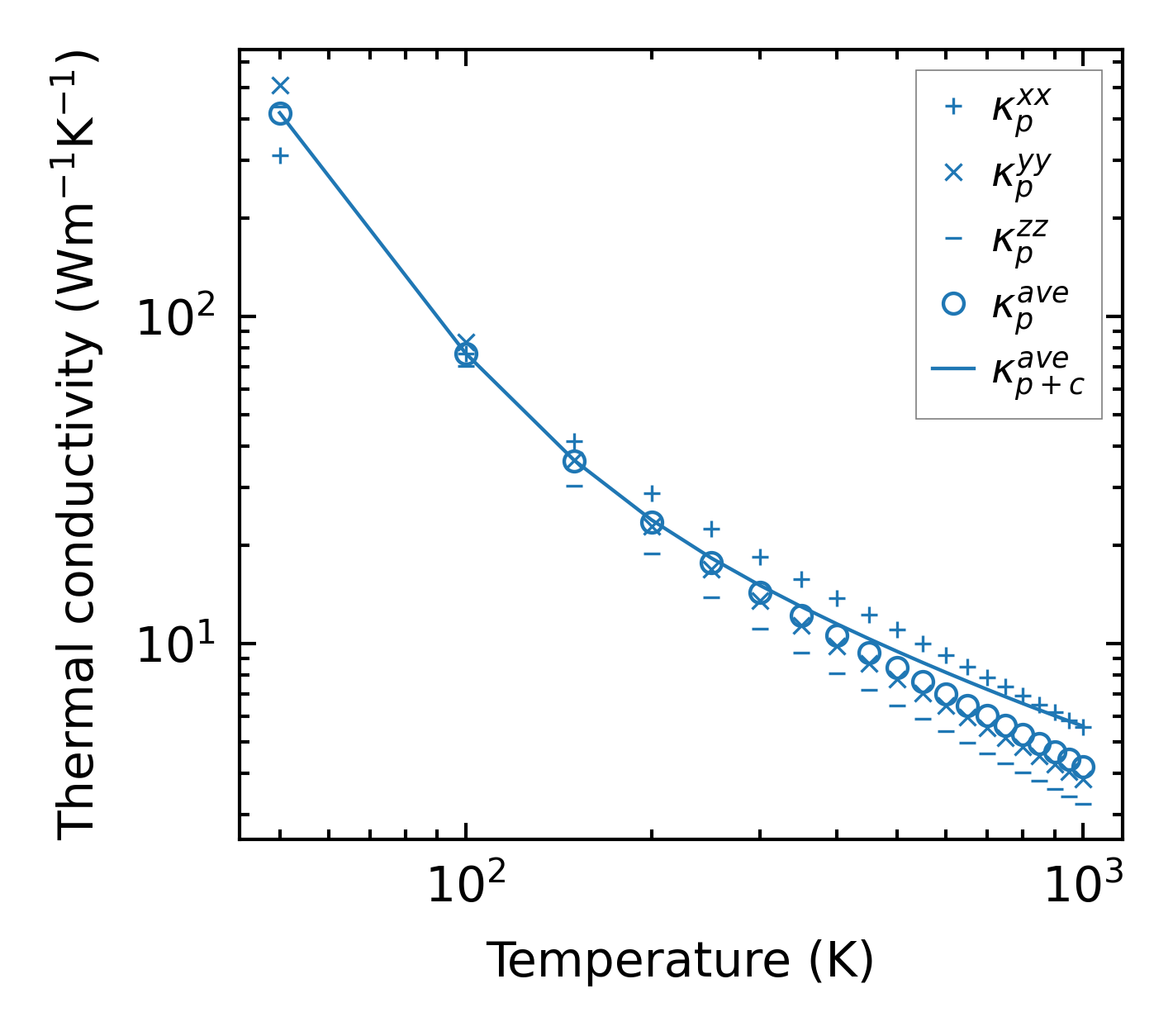
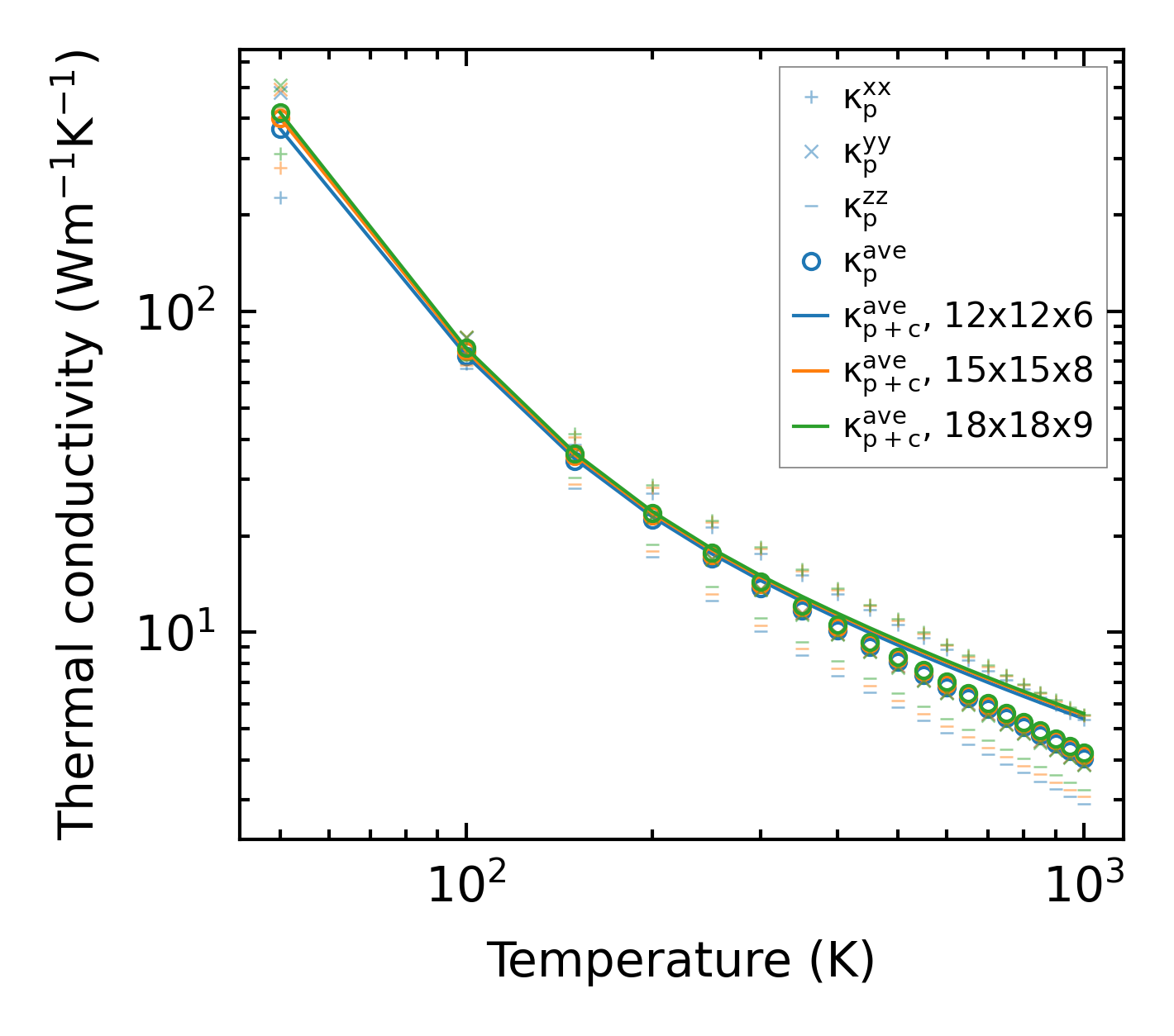
../../_images/fig_kappa6413.png

(a) Temperature-dependent lattice thermal conductivity

../../_images/fig_kappa_vs_grain_size3434.png

(b) Peierls lattice thermal conductivity w.r.t grain size

Phonon lifetime and scattering rates

../../_images/fig_lifetime3359.png

(a) Phonon lifetime due to phonon-phonon scattering

../../_images/fig_scat_rates3358.png

(b) Phonon scattering rates

Cumulative and spectral thermal conductivity

../../_images/fig_cumu_frequency3359.png

(a) Spectral and cumulative thermal conductivity w.r.t frequency

../../_images/fig_cumu_mfp3358.png

(b) Spectral and cumulative thermal conductivity w.r.t MFP

Force constants

../../_images/fig_fc28081.png

(a) Force constants w.r.t atomic distance

Summary

../../_images/fig_kappa6414.png

(a) Temperature-dependent lattice thermal conductivity

../../_images/fig_times14618.png

(b) Computation time