mp-556046/SrGa2B2O7/anharm

Harmonic properties

../../_images/fig_bandos_pr8747.png

(a) Phonon dispersion with participation ratio and DOS

../../_images/fig_thermo8747.png

(b) Thermodynamic properties

Grüneisen parameters

../../_images/fig_gru_all3527.png

(a) Grüneisen parameters

../../_images/fig_gruneisen3527.png

(b) Phonon dispersion with Grüneisen parameters

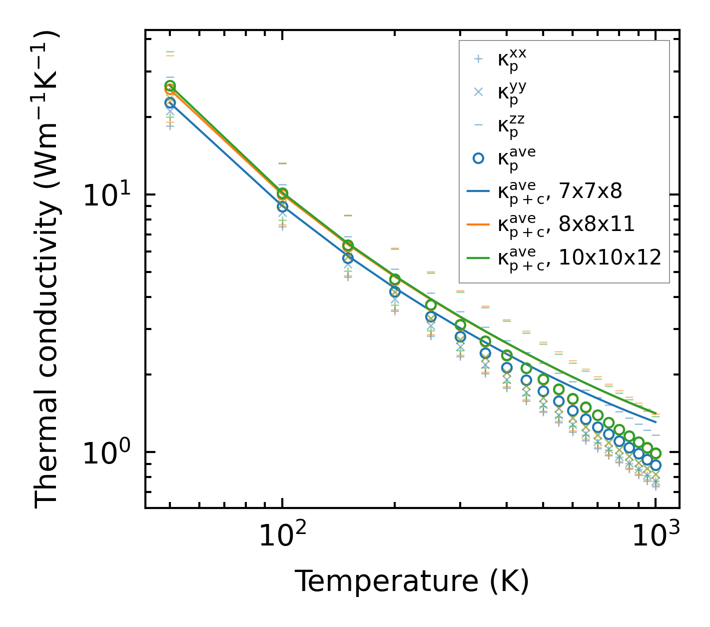
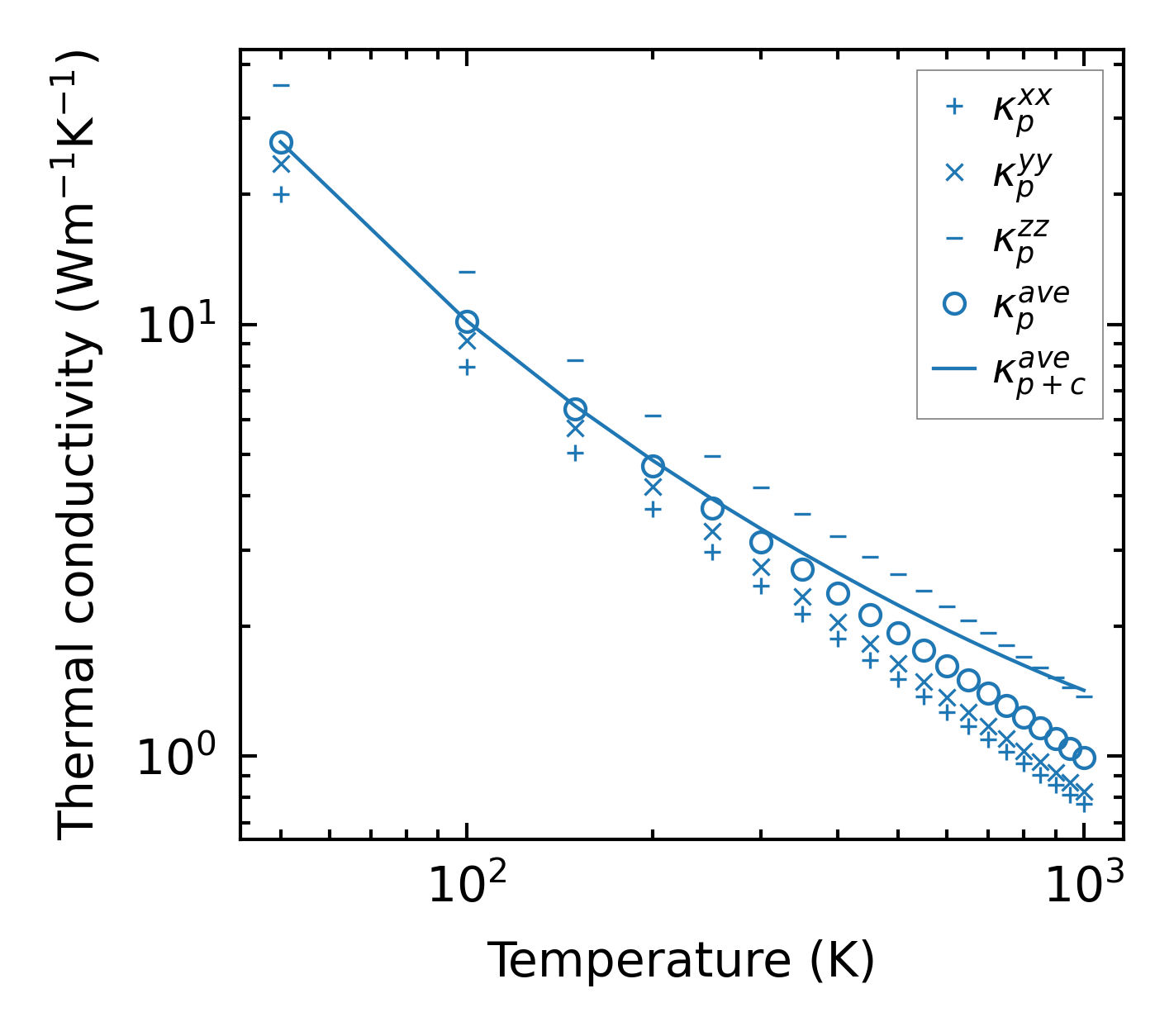
Thermal conductivity

3-phonon (LASSO) — q-mesh: 10x10x12, supercell: 1x1x2

../../_images/fig_kappa6669.png

(a) Temperature-dependent lattice thermal conductivity

../../_images/fig_kappa_vs_grain_size3571.png

(b) Peierls lattice thermal conductivity w.r.t grain size

Phonon lifetime and scattering rates

../../_images/fig_lifetime3494.png

(a) Phonon lifetime due to phonon-phonon scattering

../../_images/fig_scat_rates3493.png

(b) Phonon scattering rates

Cumulative and spectral thermal conductivity

../../_images/fig_cumu_frequency3494.png

(a) Spectral and cumulative thermal conductivity w.r.t frequency

../../_images/fig_cumu_mfp3493.png

(b) Spectral and cumulative thermal conductivity w.r.t MFP

Force constants

../../_images/fig_fc28508.png

(a) Force constants w.r.t atomic distance

Summary

../../_images/fig_kappa6670.png

(a) Temperature-dependent lattice thermal conductivity

../../_images/fig_times15329.png

(b) Computation time