mp-556048-2/Nb2O5/harm

Equation of state

../../_images/fig_bm4413.png

(a) Equation of state

Harmonic properties

../../_images/fig_bandos_pr8749.png

(a) Phonon dispersion with participation ratio and DOS

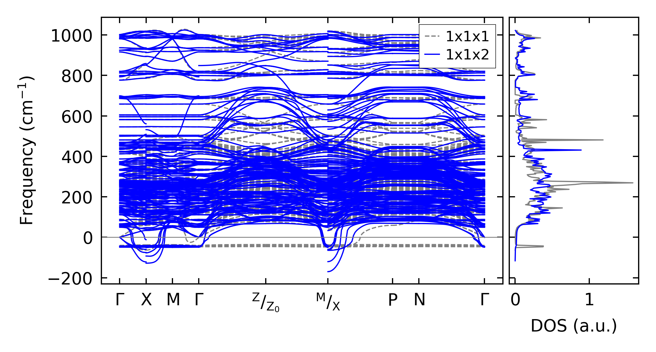
../../_images/fig_bandos12305.png

(b) Phonon dispersion and DOS

../../_images/fig_thermo8749.png

(c) Thermodynamic properties

Force constants

../../_images/fig_fc28510.png

(a) Force constants w.r.t atomic distance

Summary

../../_images/fig_times15331.png

(a) Computation time