mp-556183/Pr3UCl3O6/anharm

Equation of state

../../_images/fig_bm4293.png

(a) Equation of state

Harmonic properties

../../_images/fig_bandos_pr8471.png

(a) Phonon dispersion with participation ratio and DOS

../../_images/fig_bandos11894.png

(b) Phonon dispersion and DOS

../../_images/fig_thermo8471.png

(c) Thermodynamic properties

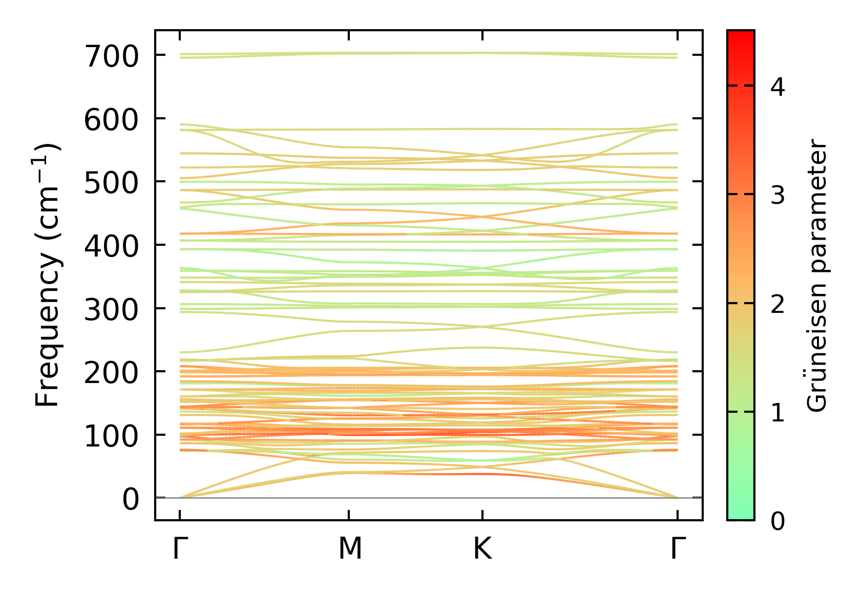
Grüneisen parameters

../../_images/fig_gru_all3451.png

(a) Grüneisen parameters

../../_images/fig_gruneisen3451.png

(b) Phonon dispersion with Grüneisen parameters

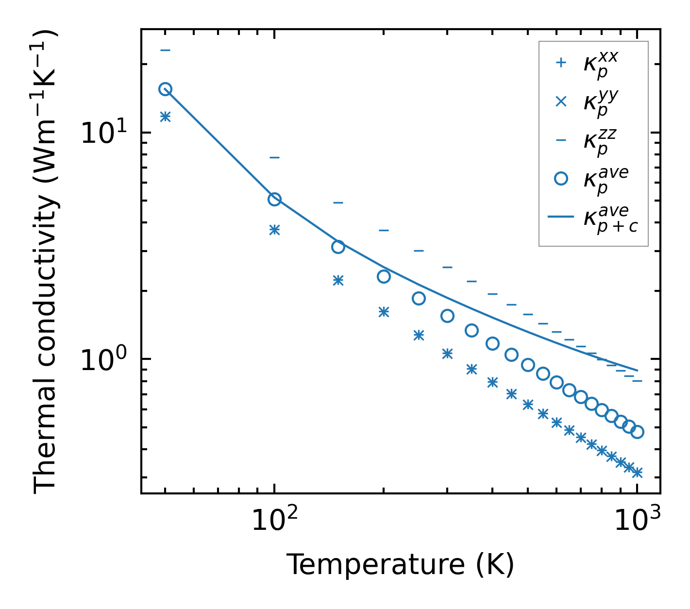
Thermal conductivity

3-phonon (LASSO) — q-mesh: 8x8x13, supercell: 1x1x2

../../_images/fig_kappa6529.png

(a) Temperature-dependent lattice thermal conductivity

../../_images/fig_kappa_vs_grain_size3495.png

(b) Peierls lattice thermal conductivity w.r.t grain size

Phonon lifetime and scattering rates

../../_images/fig_lifetime3419.png

(a) Phonon lifetime due to phonon-phonon scattering

../../_images/fig_scat_rates3418.png

(b) Phonon scattering rates

Cumulative and spectral thermal conductivity

../../_images/fig_cumu_frequency3419.png

(a) Spectral and cumulative thermal conductivity w.r.t frequency

../../_images/fig_cumu_mfp3418.png

(b) Spectral and cumulative thermal conductivity w.r.t MFP

Force constants

../../_images/fig_fc28233.png

(a) Force constants w.r.t atomic distance

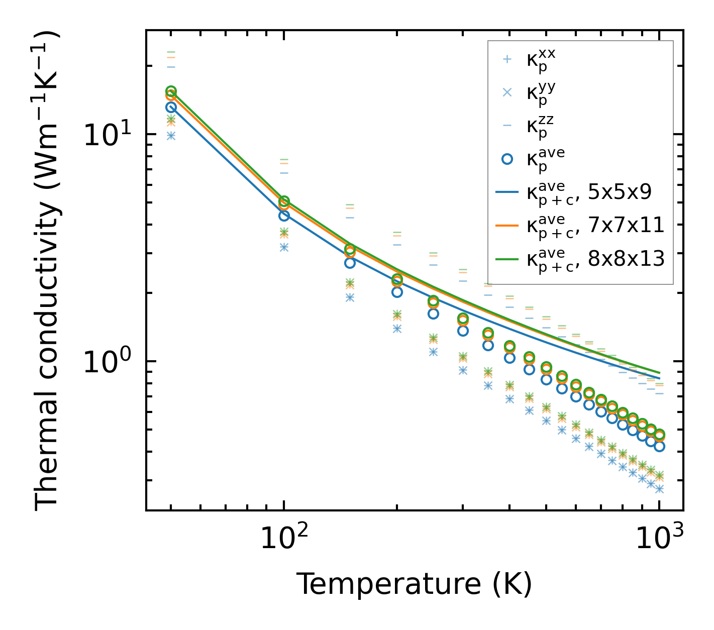
Summary

../../_images/fig_kappa6530.png

(a) Temperature-dependent lattice thermal conductivity

../../_images/fig_times14860.png

(b) Computation time