mp-556393/RbBe4B3O9/anharm

Harmonic properties

../../_images/fig_bandos_pr8517.png

(a) Phonon dispersion with participation ratio and DOS

../../_images/fig_bandos11971.png

(b) Phonon dispersion and DOS

../../_images/fig_thermo8517.png

(c) Thermodynamic properties

Grüneisen parameters

../../_images/fig_gru_all3466.png

(a) Grüneisen parameters

../../_images/fig_gruneisen3466.png

(b) Phonon dispersion with Grüneisen parameters

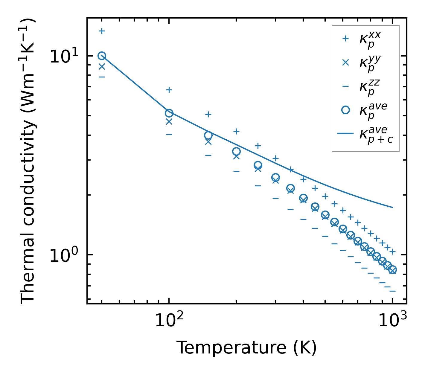
Thermal conductivity

3-phonon (LASSO) — q-mesh: 8x5x11, supercell: 1x1x2

../../_images/fig_kappa6557.png

(a) Temperature-dependent lattice thermal conductivity

../../_images/fig_kappa_vs_grain_size3510.png

(b) Peierls lattice thermal conductivity w.r.t grain size

Phonon lifetime and scattering rates

../../_images/fig_lifetime3434.png

(a) Phonon lifetime due to phonon-phonon scattering

../../_images/fig_scat_rates3433.png

(b) Phonon scattering rates

Cumulative and spectral thermal conductivity

../../_images/fig_cumu_frequency3434.png

(a) Spectral and cumulative thermal conductivity w.r.t frequency

../../_images/fig_cumu_mfp3433.png

(b) Spectral and cumulative thermal conductivity w.r.t MFP

Force constants

../../_images/fig_fc28279.png

(a) Force constants w.r.t atomic distance

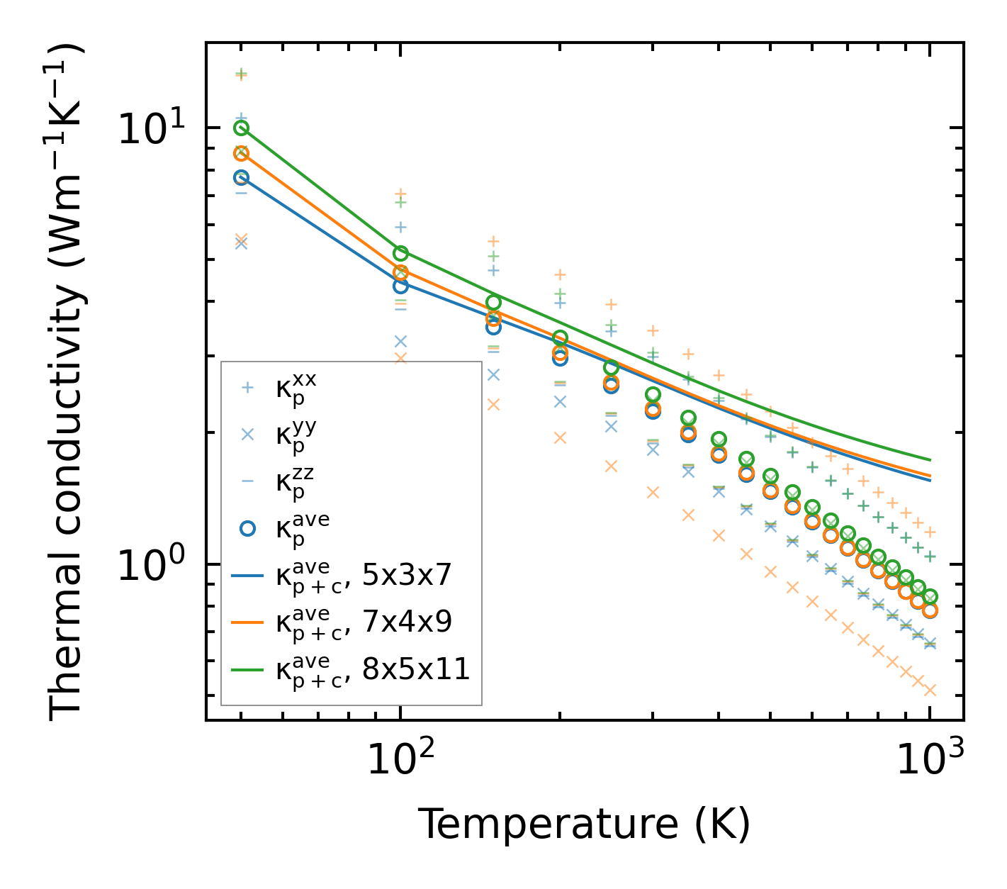
Summary

../../_images/fig_kappa6558.png

(a) Temperature-dependent lattice thermal conductivity

../../_images/fig_times14950.png

(b) Computation time