mp-556169-2/YSeO3F/anharm

Equation of state

../../_images/fig_bm4289.png

(a) Equation of state

Harmonic properties

../../_images/fig_bandos_pr8464.png

(a) Phonon dispersion with participation ratio and DOS

../../_images/fig_bandos11887.png

(b) Phonon dispersion and DOS

../../_images/fig_thermo8464.png

(c) Thermodynamic properties

Grüneisen parameters

../../_images/fig_gru_all3450.png

(a) Grüneisen parameters

../../_images/fig_gruneisen3450.png

(b) Phonon dispersion with Grüneisen parameters

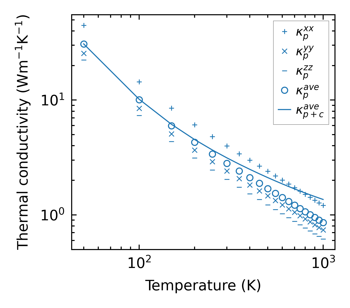
Thermal conductivity

3-phonon (LASSO) — q-mesh: 10x10x10, supercell: 2x2x1

../../_images/fig_kappa6526.png

(a) Temperature-dependent lattice thermal conductivity

../../_images/fig_kappa_vs_grain_size3493.png

(b) Peierls lattice thermal conductivity w.r.t grain size

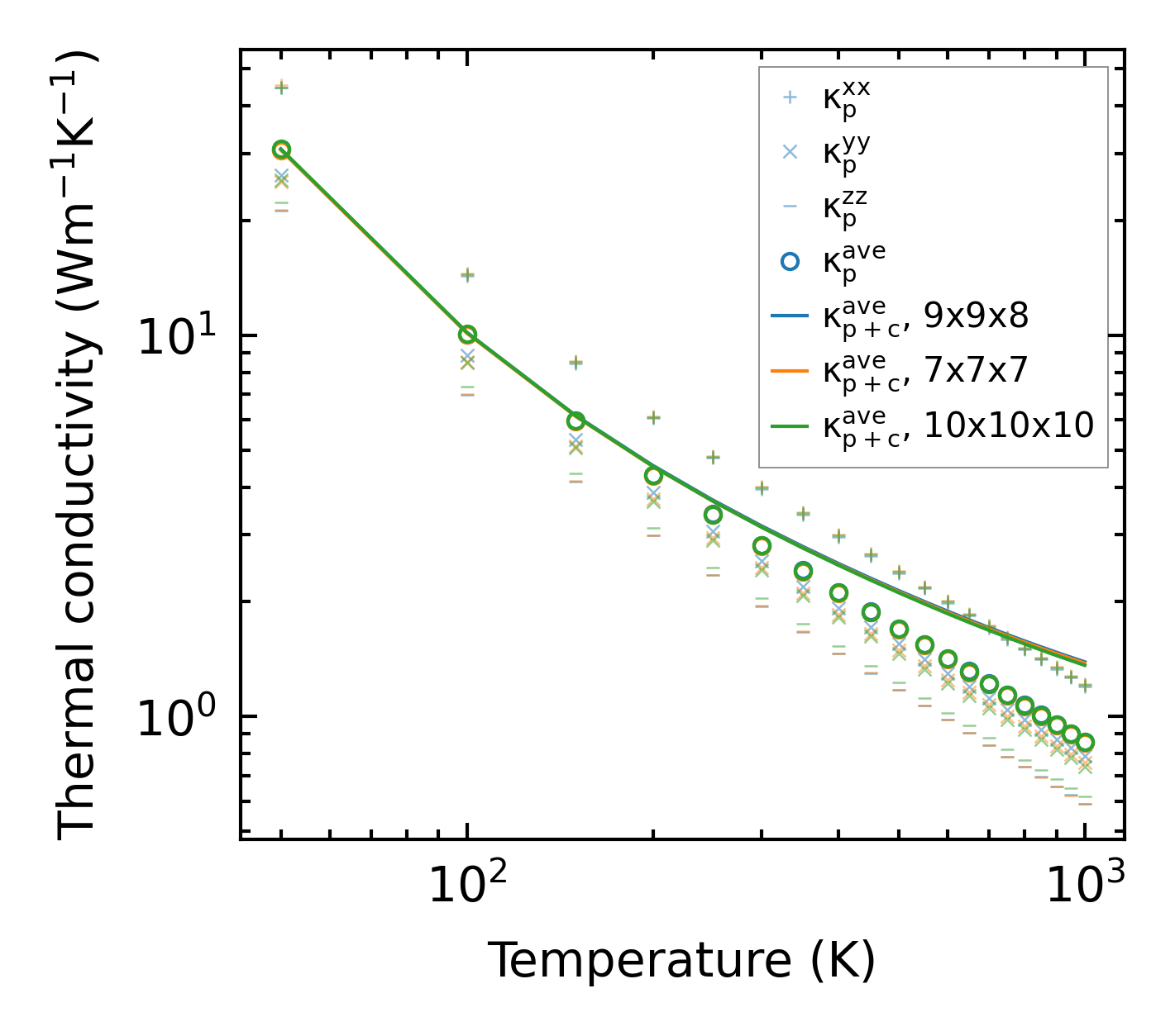
3-phonon (LASSO), supercell 2x2x2 — q-mesh: 10x10x10, supercell: 2x2x2

../../_images/fig_kappa6527.png

(a) Temperature-dependent lattice thermal conductivity

../../_images/fig_kappa_vs_grain_size3494.png

(b) Peierls lattice thermal conductivity w.r.t grain size

Phonon lifetime and scattering rates

../../_images/fig_lifetime3418.png

(a) Phonon lifetime due to phonon-phonon scattering

../../_images/fig_scat_rates3417.png

(b) Phonon scattering rates

Cumulative and spectral thermal conductivity

../../_images/fig_cumu_frequency3418.png

(a) Spectral and cumulative thermal conductivity w.r.t frequency

../../_images/fig_cumu_mfp3417.png

(b) Spectral and cumulative thermal conductivity w.r.t MFP

Force constants

../../_images/fig_fc28226.png

(a) Force constants w.r.t atomic distance

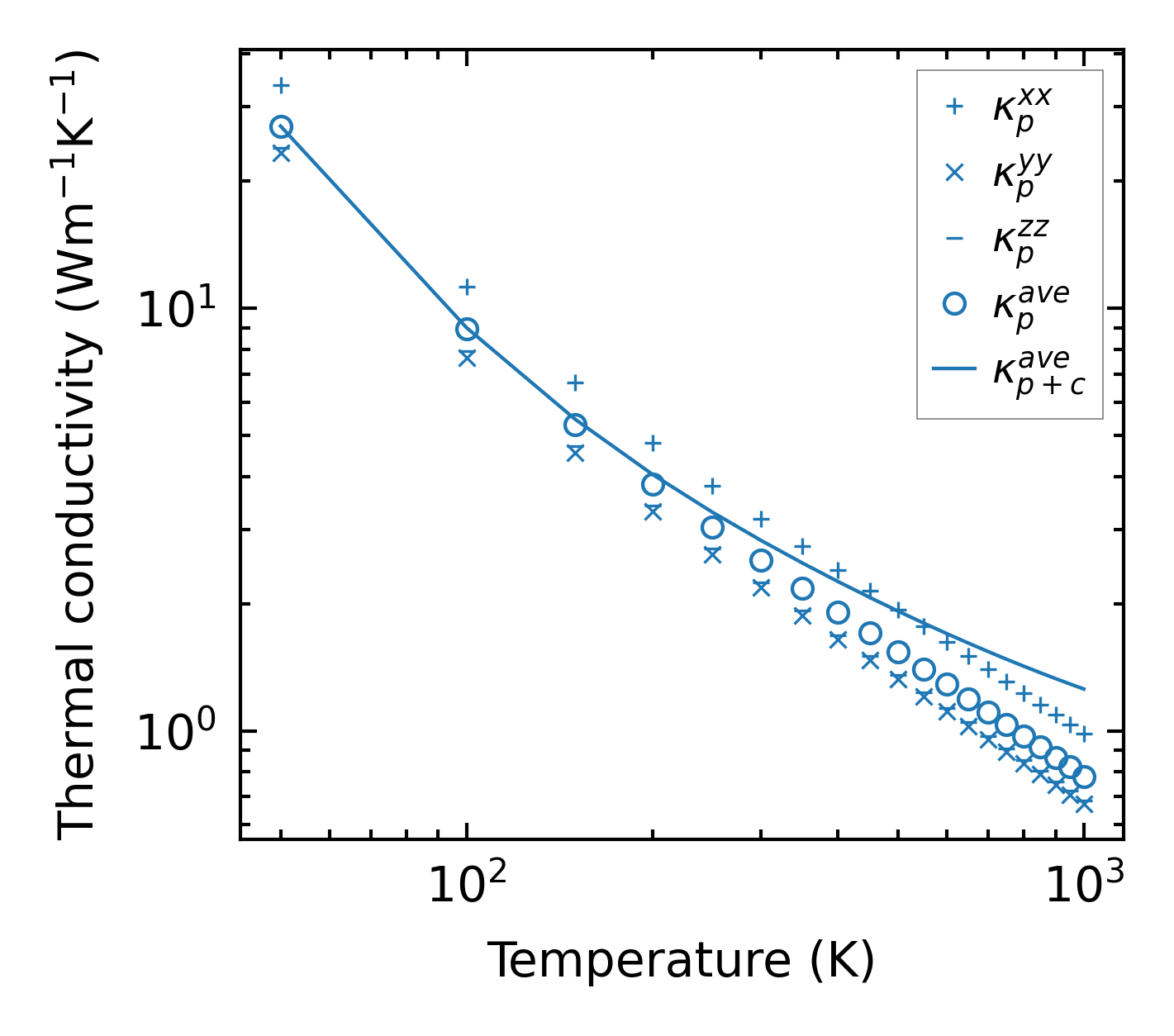
Summary

../../_images/fig_kappa6528.png

(a) Temperature-dependent lattice thermal conductivity

../../_images/fig_times14853.png

(b) Computation time