mp-556475-2/KLaPdO3/anharm

Equation of state

../../_images/fig_bm4320.png

(a) Equation of state

Harmonic properties

../../_images/fig_bandos_pr8539.png

(a) Phonon dispersion with participation ratio and DOS

../../_images/fig_bandos12000.png

(b) Phonon dispersion and DOS

../../_images/fig_thermo8539.png

(c) Thermodynamic properties

Grüneisen parameters

../../_images/fig_gru_all3474.png

(a) Grüneisen parameters

../../_images/fig_gruneisen3474.png

(b) Phonon dispersion with Grüneisen parameters

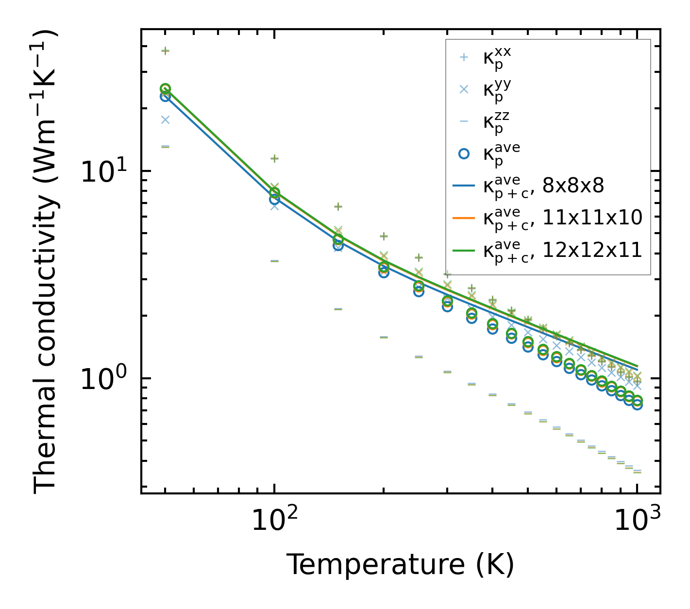
Thermal conductivity

3-phonon (LASSO) — q-mesh: 12x12x11, supercell: 1x3x2

../../_images/fig_kappa6571.png

(a) Temperature-dependent lattice thermal conductivity

../../_images/fig_kappa_vs_grain_size3518.png

(b) Peierls lattice thermal conductivity w.r.t grain size

Phonon lifetime and scattering rates

../../_images/fig_lifetime3442.png

(a) Phonon lifetime due to phonon-phonon scattering

../../_images/fig_scat_rates3441.png

(b) Phonon scattering rates

Cumulative and spectral thermal conductivity

../../_images/fig_cumu_frequency3442.png

(a) Spectral and cumulative thermal conductivity w.r.t frequency

../../_images/fig_cumu_mfp3441.png

(b) Spectral and cumulative thermal conductivity w.r.t MFP

Force constants

../../_images/fig_fc28300.png

(a) Force constants w.r.t atomic distance

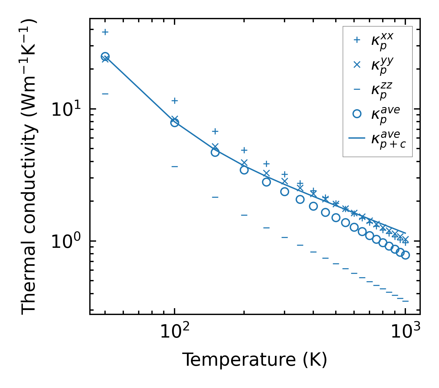
Summary

../../_images/fig_kappa6572.png

(a) Temperature-dependent lattice thermal conductivity

../../_images/fig_times14983.png

(b) Computation time