mp-556287/NaBi2Sb3O11/anharm

Harmonic properties

../../_images/fig_bandos_pr8494.png

(a) Phonon dispersion with participation ratio and DOS

../../_images/fig_thermo8494.png

(b) Thermodynamic properties

Grüneisen parameters

../../_images/fig_gru_all3458.png

(a) Grüneisen parameters

../../_images/fig_gruneisen3458.png

(b) Phonon dispersion with Grüneisen parameters

Thermal conductivity

3-phonon (LASSO) — q-mesh: 7x7x7, supercell: 1x1x1

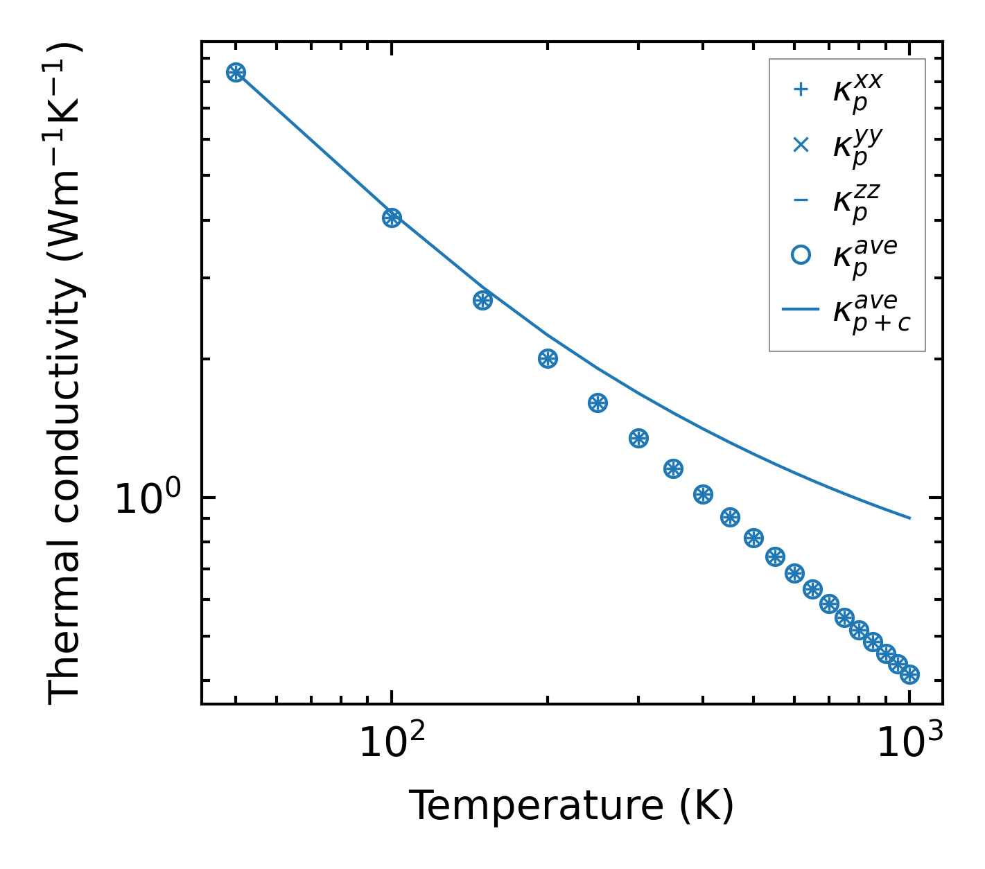
../../_images/fig_kappa6542.png

(a) Temperature-dependent lattice thermal conductivity

../../_images/fig_kappa_vs_grain_size3502.png

(b) Peierls lattice thermal conductivity w.r.t grain size

Phonon lifetime and scattering rates

../../_images/fig_lifetime3426.png

(a) Phonon lifetime due to phonon-phonon scattering

../../_images/fig_scat_rates3425.png

(b) Phonon scattering rates

Cumulative and spectral thermal conductivity

../../_images/fig_cumu_frequency3426.png

(a) Spectral and cumulative thermal conductivity w.r.t frequency

../../_images/fig_cumu_mfp3425.png

(b) Spectral and cumulative thermal conductivity w.r.t MFP

Force constants

../../_images/fig_fc28256.png

(a) Force constants w.r.t atomic distance

Summary

../../_images/fig_kappa6543.png

(a) Temperature-dependent lattice thermal conductivity

../../_images/fig_times14904.png

(b) Computation time