mp-556712-2/Ga2BiS4/anharm

Equation of state

../../_images/fig_bm4352.png

(a) Equation of state

Harmonic properties

../../_images/fig_bandos_pr8593.png

(a) Phonon dispersion with participation ratio and DOS

../../_images/fig_thermo8593.png

(b) Thermodynamic properties

Grüneisen parameters

../../_images/fig_gru_all3490.png

(a) Grüneisen parameters

../../_images/fig_gruneisen3490.png

(b) Phonon dispersion with Grüneisen parameters

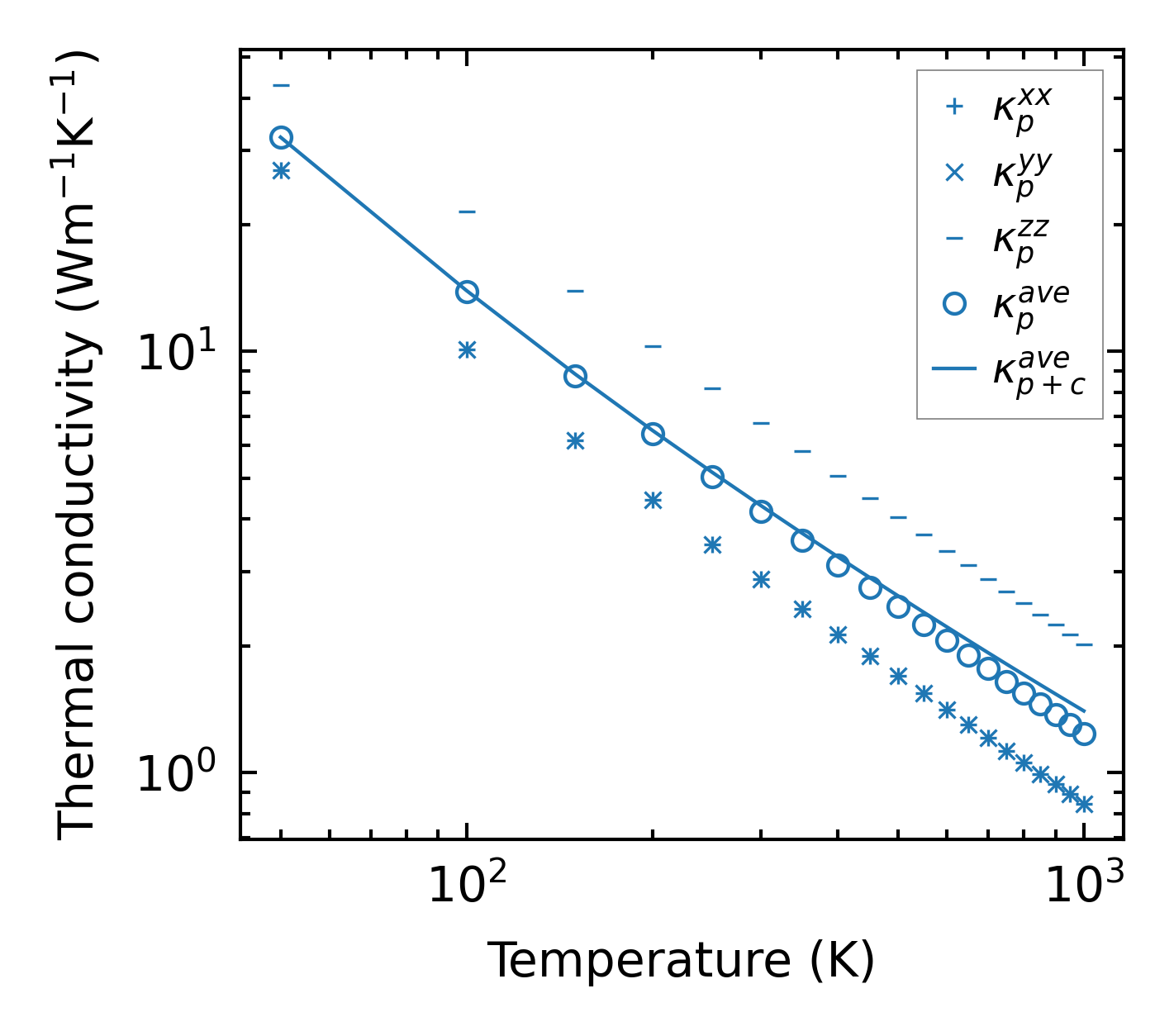
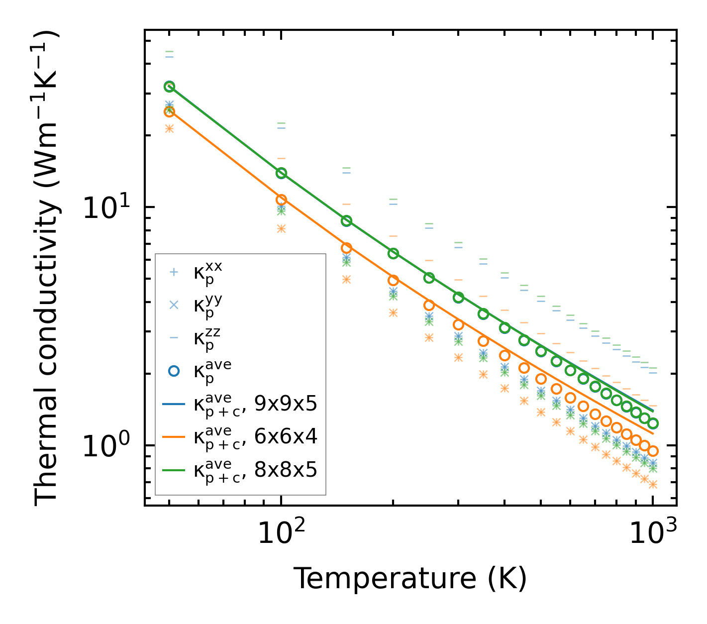
Thermal conductivity

3-phonon (LASSO) — q-mesh: 9x9x5, supercell: 2x2x1

../../_images/fig_kappa6600.png

(a) Temperature-dependent lattice thermal conductivity

../../_images/fig_kappa_vs_grain_size3534.png

(b) Peierls lattice thermal conductivity w.r.t grain size

Phonon lifetime and scattering rates

../../_images/fig_lifetime3457.png

(a) Phonon lifetime due to phonon-phonon scattering

../../_images/fig_scat_rates3456.png

(b) Phonon scattering rates

Cumulative and spectral thermal conductivity

../../_images/fig_cumu_frequency3457.png

(a) Spectral and cumulative thermal conductivity w.r.t frequency

../../_images/fig_cumu_mfp3456.png

(b) Spectral and cumulative thermal conductivity w.r.t MFP

Force constants

../../_images/fig_fc28354.png

(a) Force constants w.r.t atomic distance

Summary

../../_images/fig_kappa6601.png

(a) Temperature-dependent lattice thermal conductivity

../../_images/fig_times15081.png

(b) Computation time