mp-556908/Nd5As4Cl3O12/anharm

Harmonic properties

../../_images/fig_bandos_pr8328.png

(a) Phonon dispersion with participation ratio and DOS

../../_images/fig_thermo8328.png

(b) Thermodynamic properties

Grüneisen parameters

../../_images/fig_gru_all3395.png

(a) Grüneisen parameters

../../_images/fig_gruneisen3395.png

(b) Phonon dispersion with Grüneisen parameters

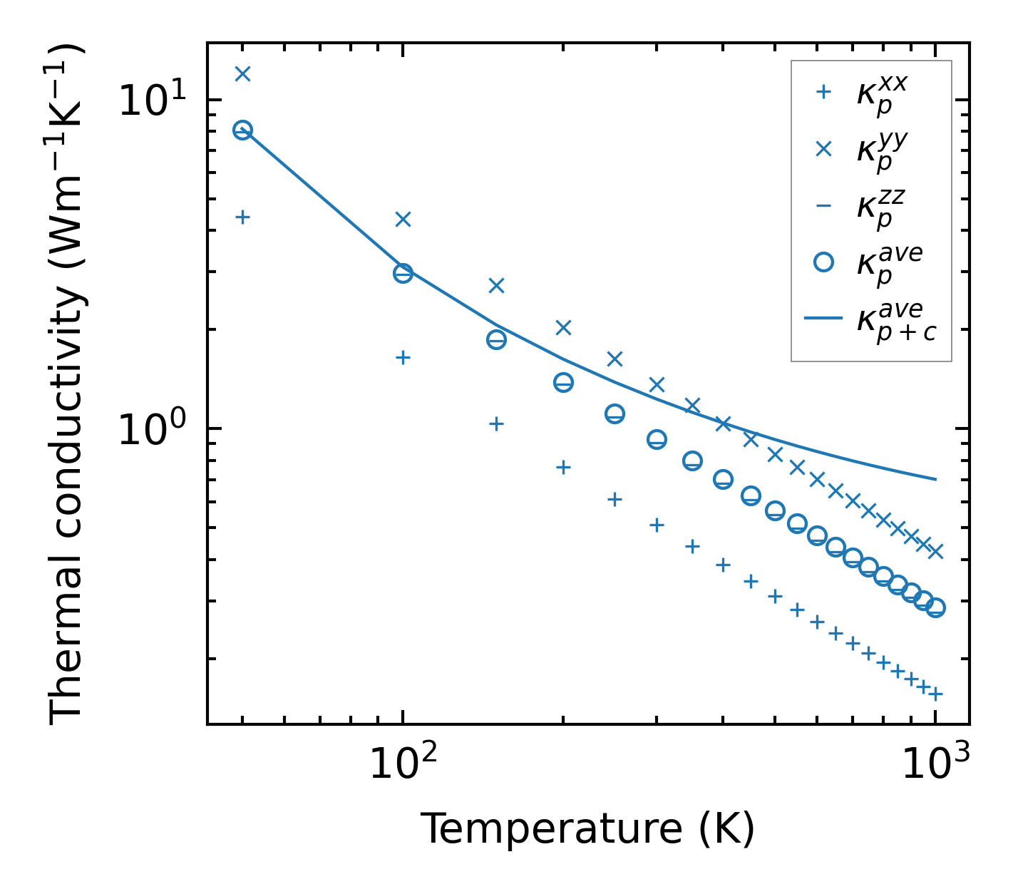
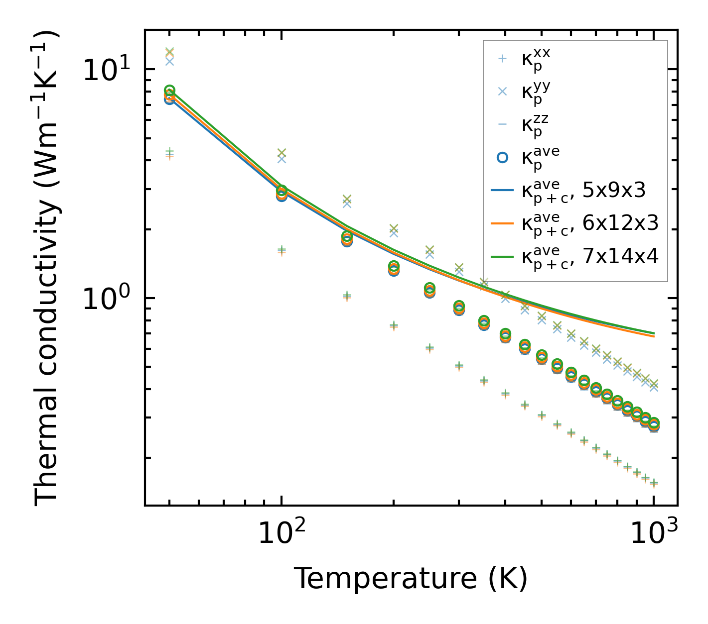
Thermal conductivity

3-phonon (LASSO) — q-mesh: 7x14x4, supercell: 1x2x1

../../_images/fig_kappa6423.png

(a) Temperature-dependent lattice thermal conductivity

../../_images/fig_kappa_vs_grain_size3439.png

(b) Peierls lattice thermal conductivity w.r.t grain size

Phonon lifetime and scattering rates

../../_images/fig_lifetime3364.png

(a) Phonon lifetime due to phonon-phonon scattering

../../_images/fig_scat_rates3363.png

(b) Phonon scattering rates

Cumulative and spectral thermal conductivity

../../_images/fig_cumu_frequency3364.png

(a) Spectral and cumulative thermal conductivity w.r.t frequency

../../_images/fig_cumu_mfp3363.png

(b) Spectral and cumulative thermal conductivity w.r.t MFP

Force constants

../../_images/fig_fc28090.png

(a) Force constants w.r.t atomic distance

Summary

../../_images/fig_kappa6424.png

(a) Temperature-dependent lattice thermal conductivity

../../_images/fig_times14635.png

(b) Computation time