mp-556742/GaS/anharm

Harmonic properties

../../_images/fig_bandos_pr8602.png

(a) Phonon dispersion with participation ratio and DOS

../../_images/fig_thermo8602.png

(b) Thermodynamic properties

Grüneisen parameters

../../_images/fig_gru_all3492.png

(a) Grüneisen parameters

../../_images/fig_gruneisen3492.png

(b) Phonon dispersion with Grüneisen parameters

Thermal conductivity

3-phonon (LASSO) — q-mesh: 21x21x4, supercell: 4x4x1

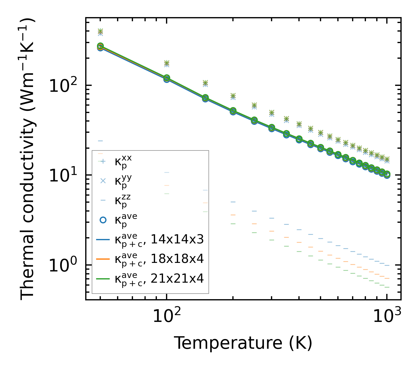
../../_images/fig_kappa6604.png

(a) Temperature-dependent lattice thermal conductivity

../../_images/fig_kappa_vs_grain_size3536.png

(b) Peierls lattice thermal conductivity w.r.t grain size

Phonon lifetime and scattering rates

../../_images/fig_lifetime3459.png

(a) Phonon lifetime due to phonon-phonon scattering

../../_images/fig_scat_rates3458.png

(b) Phonon scattering rates

Cumulative and spectral thermal conductivity

../../_images/fig_cumu_frequency3459.png

(a) Spectral and cumulative thermal conductivity w.r.t frequency

../../_images/fig_cumu_mfp3458.png

(b) Spectral and cumulative thermal conductivity w.r.t MFP

Force constants

../../_images/fig_fc28363.png

(a) Force constants w.r.t atomic distance

Summary

../../_images/fig_kappa6605.png

(a) Temperature-dependent lattice thermal conductivity

../../_images/fig_times15092.png

(b) Computation time