mp-556974/BaB4O7/anharm

Harmonic properties

../../_images/fig_bandos_pr8335.png

(a) Phonon dispersion with participation ratio and DOS

../../_images/fig_thermo8335.png

(b) Thermodynamic properties

Grüneisen parameters

../../_images/fig_gru_all3398.png

(a) Grüneisen parameters

../../_images/fig_gruneisen3398.png

(b) Phonon dispersion with Grüneisen parameters

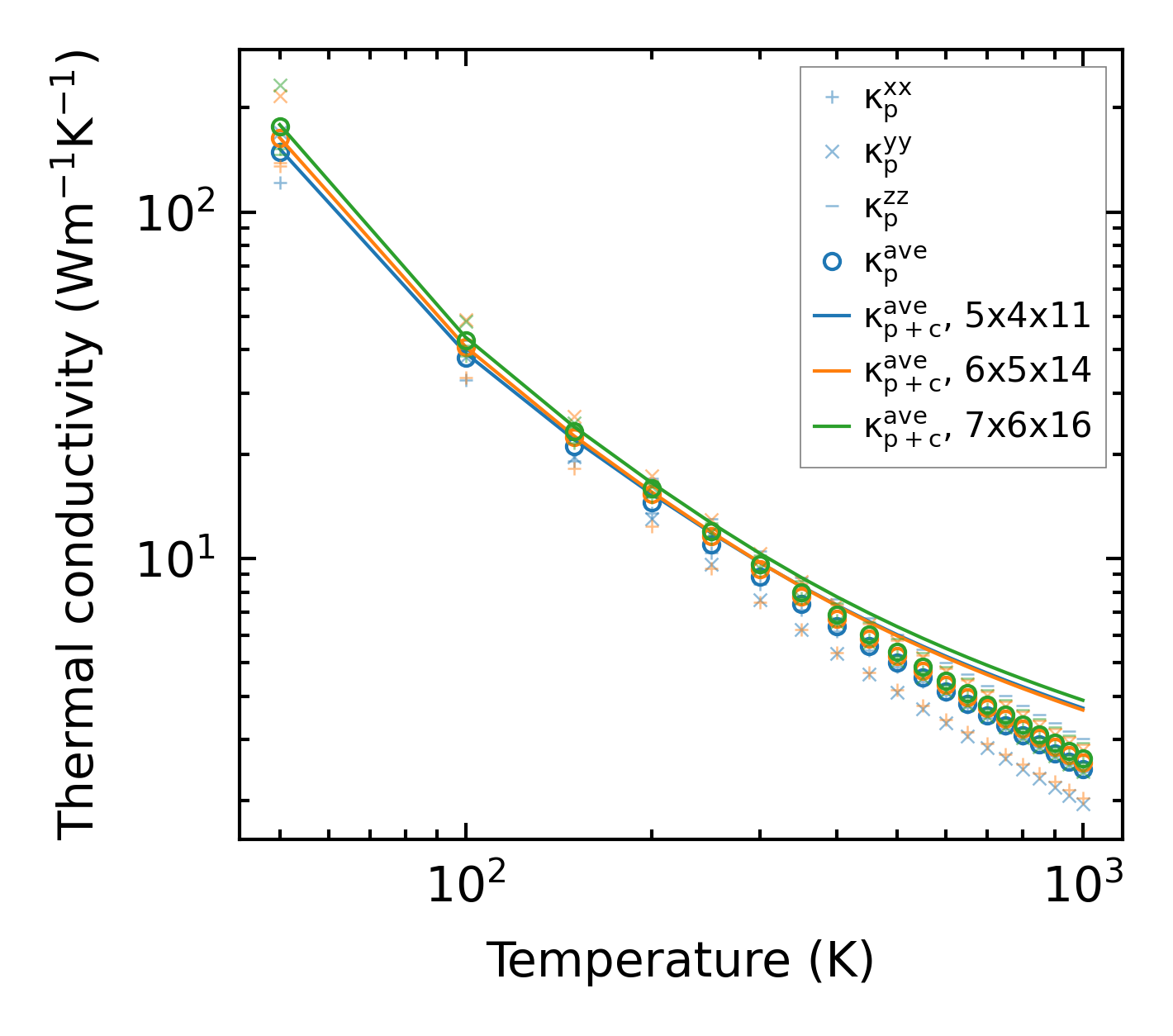
Thermal conductivity

3-phonon (LASSO) — q-mesh: 7x6x16, supercell: 1x1x3

../../_images/fig_kappa6428.png

(a) Temperature-dependent lattice thermal conductivity

../../_images/fig_kappa_vs_grain_size3442.png

(b) Peierls lattice thermal conductivity w.r.t grain size

Phonon lifetime and scattering rates

../../_images/fig_lifetime3367.png

(a) Phonon lifetime due to phonon-phonon scattering

../../_images/fig_scat_rates3366.png

(b) Phonon scattering rates

Cumulative and spectral thermal conductivity

../../_images/fig_cumu_frequency3367.png

(a) Spectral and cumulative thermal conductivity w.r.t frequency

../../_images/fig_cumu_mfp3366.png

(b) Spectral and cumulative thermal conductivity w.r.t MFP

Force constants

../../_images/fig_fc28097.png

(a) Force constants w.r.t atomic distance

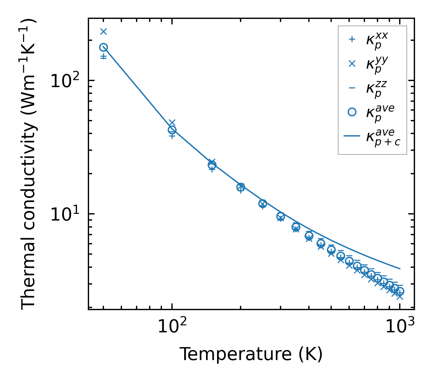
Summary

../../_images/fig_kappa6429.png

(a) Temperature-dependent lattice thermal conductivity

../../_images/fig_times14647.png

(b) Computation time