mp-556978/Na2S/anharm

Harmonic properties

../../_images/fig_bandos_pr8338.png

(a) Phonon dispersion with participation ratio and DOS

../../_images/fig_thermo8338.png

(b) Thermodynamic properties

Grüneisen parameters

../../_images/fig_gru_all3400.png

(a) Grüneisen parameters

../../_images/fig_gruneisen3400.png

(b) Phonon dispersion with Grüneisen parameters

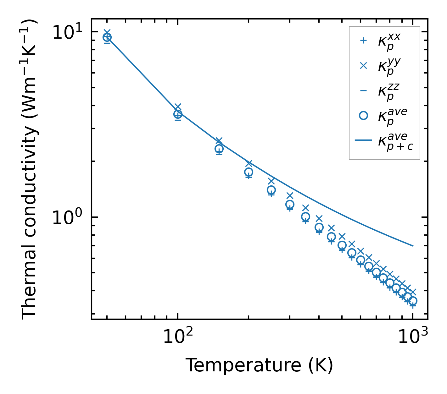
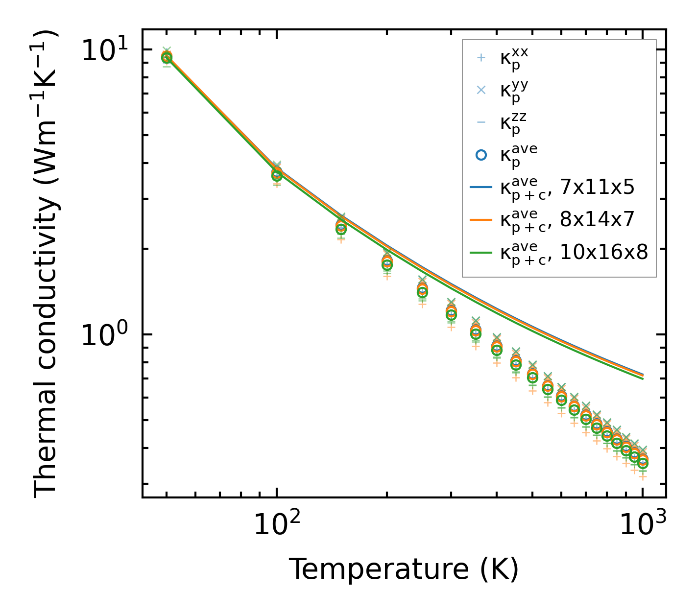
Thermal conductivity

3-phonon (LASSO) — q-mesh: 10x16x8, supercell: 2x3x2

../../_images/fig_kappa6431.png

(a) Temperature-dependent lattice thermal conductivity

../../_images/fig_kappa_vs_grain_size3444.png

(b) Peierls lattice thermal conductivity w.r.t grain size

Phonon lifetime and scattering rates

../../_images/fig_lifetime3369.png

(a) Phonon lifetime due to phonon-phonon scattering

../../_images/fig_scat_rates3368.png

(b) Phonon scattering rates

Cumulative and spectral thermal conductivity

../../_images/fig_cumu_frequency3369.png

(a) Spectral and cumulative thermal conductivity w.r.t frequency

../../_images/fig_cumu_mfp3368.png

(b) Spectral and cumulative thermal conductivity w.r.t MFP

Force constants

../../_images/fig_fc28100.png

(a) Force constants w.r.t atomic distance

Summary

../../_images/fig_kappa6432.png

(a) Temperature-dependent lattice thermal conductivity

../../_images/fig_times14650.png

(b) Computation time