mp-556695-2/NaSrBO3/anharm

Equation of state

../../_images/fig_bm4349.png

(a) Equation of state

Harmonic properties

../../_images/fig_bandos_pr8586.png

(a) Phonon dispersion with participation ratio and DOS

../../_images/fig_bandos12083.png

(b) Phonon dispersion and DOS

../../_images/fig_thermo8586.png

(c) Thermodynamic properties

Grüneisen parameters

../../_images/fig_gru_all3486.png

(a) Grüneisen parameters

../../_images/fig_gruneisen3486.png

(b) Phonon dispersion with Grüneisen parameters

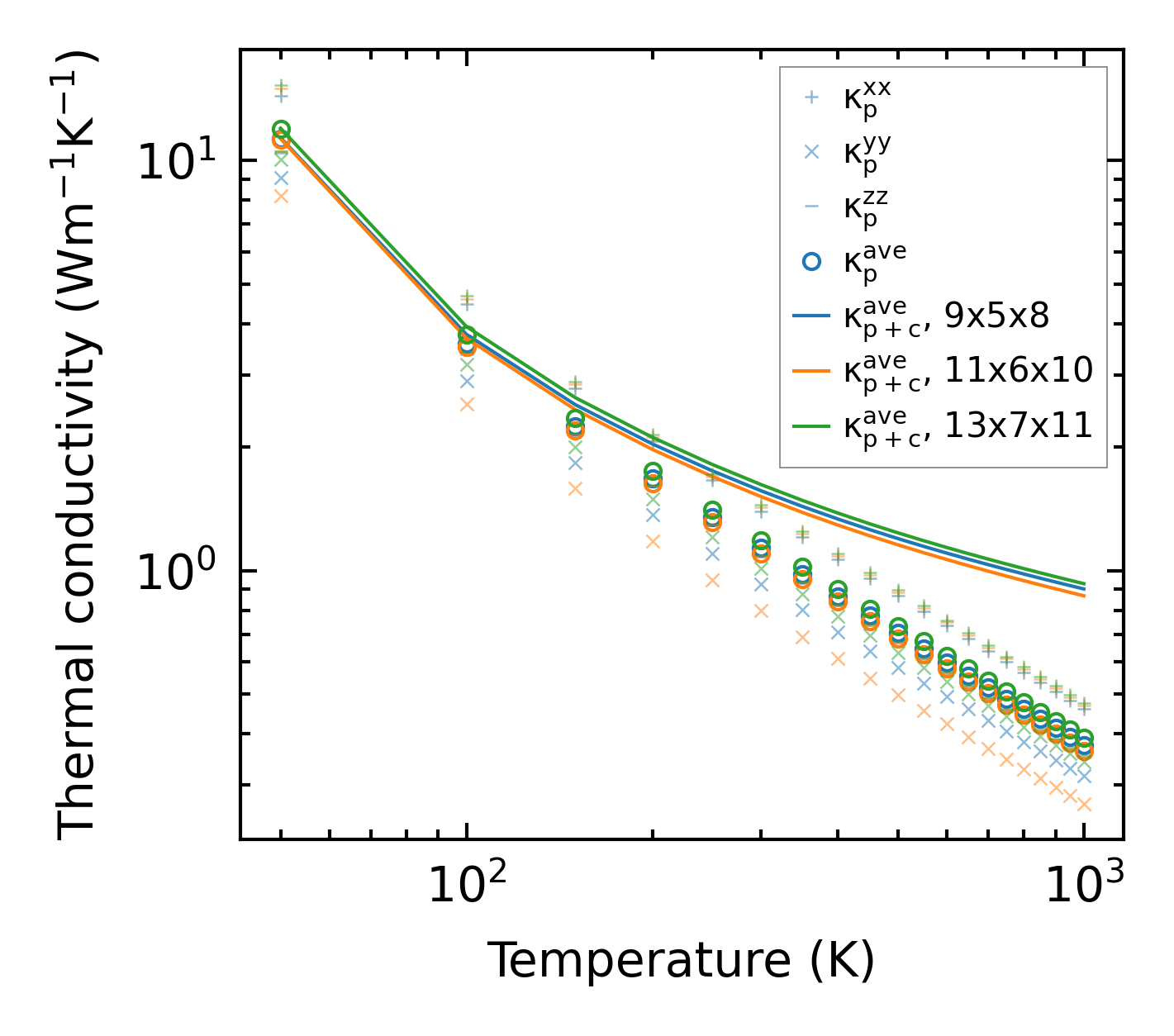
Thermal conductivity

3-phonon (LASSO) — q-mesh: 13x7x11, supercell: 2x1x2

../../_images/fig_kappa6592.png

(a) Temperature-dependent lattice thermal conductivity

../../_images/fig_kappa_vs_grain_size3530.png

(b) Peierls lattice thermal conductivity w.r.t grain size

Force constants

../../_images/fig_fc28347.png

(a) Force constants w.r.t atomic distance

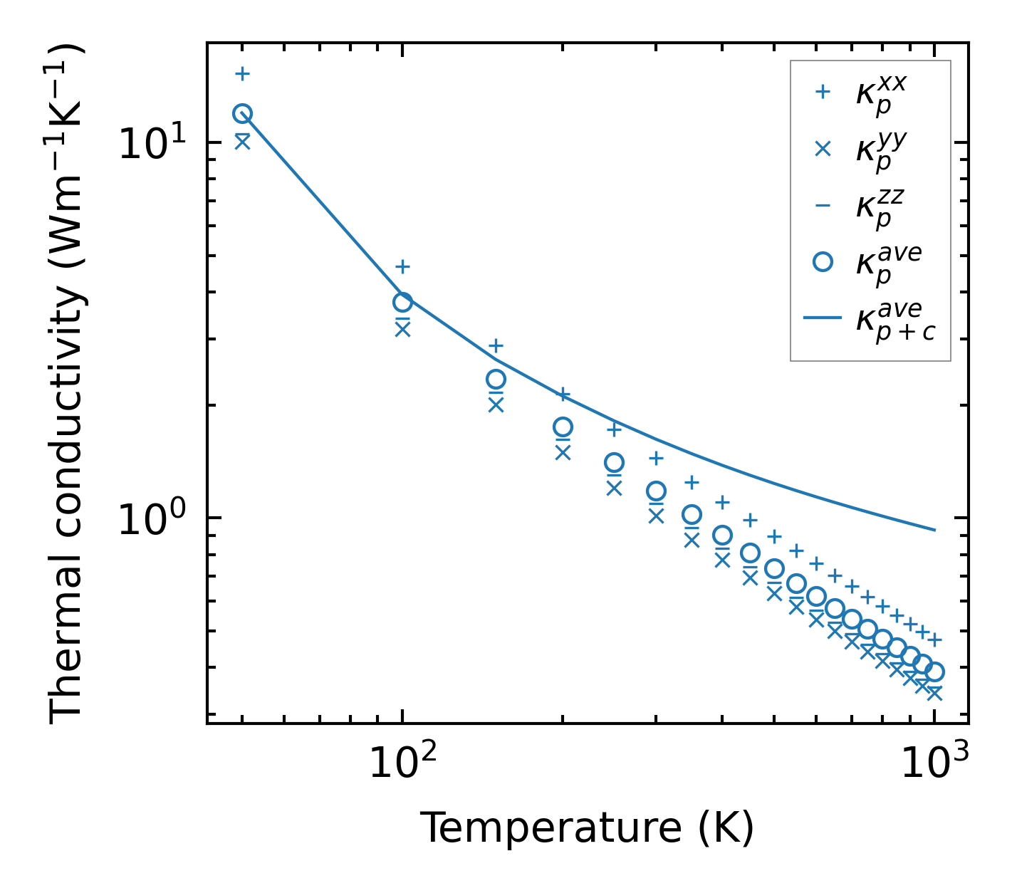
Summary

../../_images/fig_kappa6593.png

(a) Temperature-dependent lattice thermal conductivity

../../_images/fig_times15073.png

(b) Computation time