mp-556316/Ba3NaBiO6/anharm

Harmonic properties

../../_images/fig_bandos_pr8499.png

(a) Phonon dispersion with participation ratio and DOS

../../_images/fig_thermo8499.png

(b) Thermodynamic properties

Grüneisen parameters

../../_images/fig_gru_all3461.png

(a) Grüneisen parameters

../../_images/fig_gruneisen3461.png

(b) Phonon dispersion with Grüneisen parameters

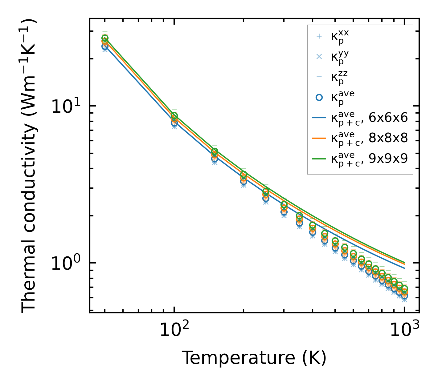
Thermal conductivity

3-phonon (LASSO) — q-mesh: 9x9x9, supercell: 1x1x1

../../_images/fig_kappa6547.png

(a) Temperature-dependent lattice thermal conductivity

../../_images/fig_kappa_vs_grain_size3505.png

(b) Peierls lattice thermal conductivity w.r.t grain size

Phonon lifetime and scattering rates

../../_images/fig_lifetime3429.png

(a) Phonon lifetime due to phonon-phonon scattering

../../_images/fig_scat_rates3428.png

(b) Phonon scattering rates

Cumulative and spectral thermal conductivity

../../_images/fig_cumu_frequency3429.png

(a) Spectral and cumulative thermal conductivity w.r.t frequency

../../_images/fig_cumu_mfp3428.png

(b) Spectral and cumulative thermal conductivity w.r.t MFP

Force constants

../../_images/fig_fc28261.png

(a) Force constants w.r.t atomic distance

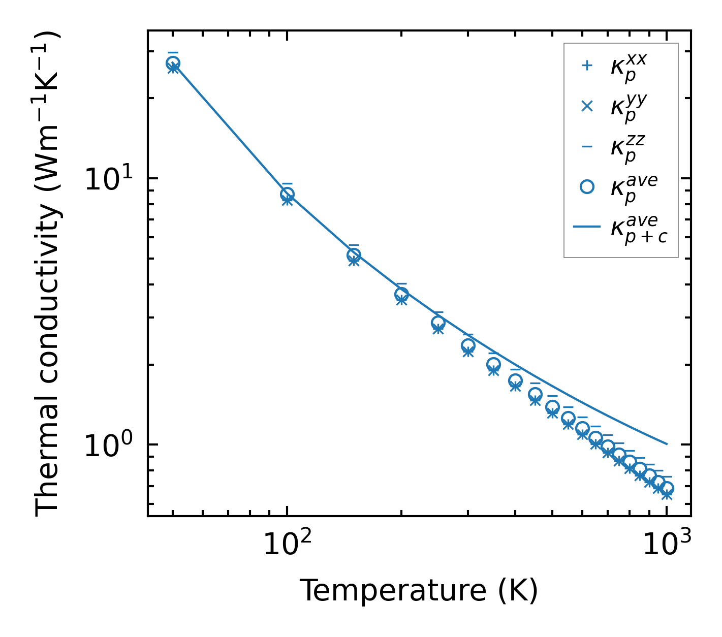
Summary

../../_images/fig_kappa6548.png

(a) Temperature-dependent lattice thermal conductivity

../../_images/fig_times14914.png

(b) Computation time