mp-556521-2/KNa7Pb2O7/anharm

Equation of state

../../_images/fig_bm4325.png

(a) Equation of state

Harmonic properties

../../_images/fig_bandos_pr8544.png

(a) Phonon dispersion with participation ratio and DOS

../../_images/fig_bandos12010.png

(b) Phonon dispersion and DOS

../../_images/fig_thermo8544.png

(c) Thermodynamic properties

Grüneisen parameters

../../_images/fig_gru_all3475.png

(a) Grüneisen parameters

../../_images/fig_gruneisen3475.png

(b) Phonon dispersion with Grüneisen parameters

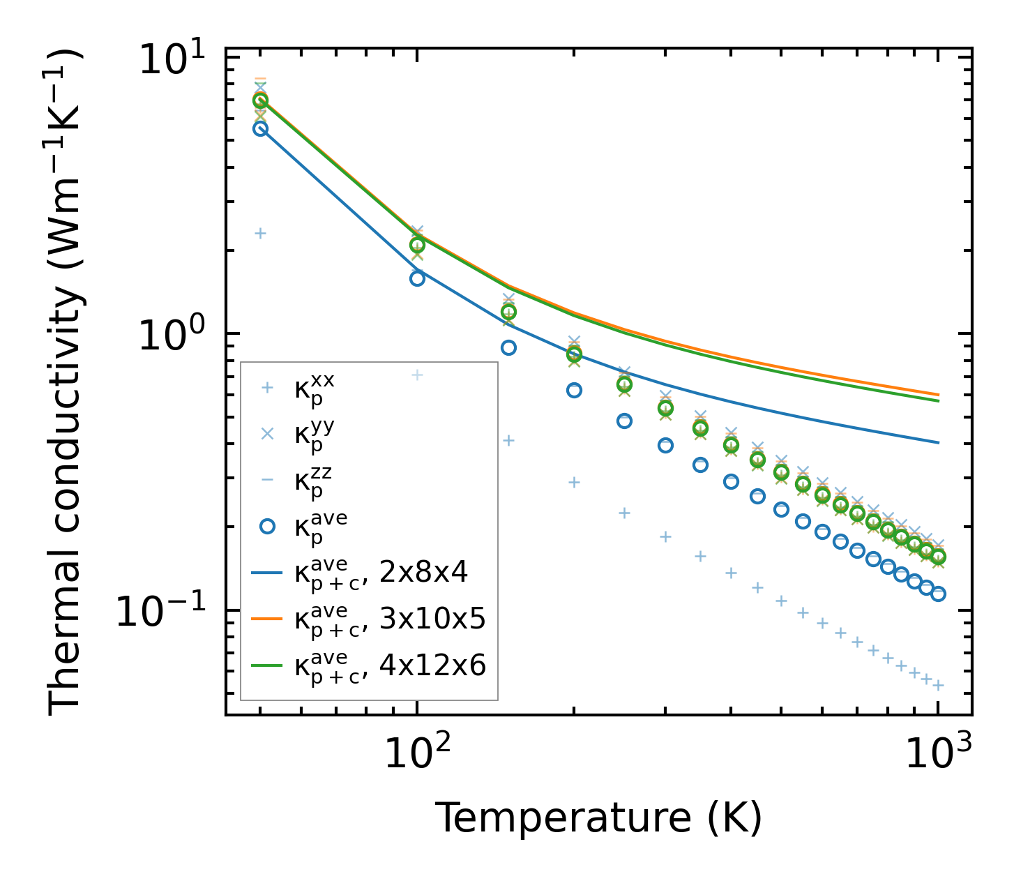
Thermal conductivity

3-phonon (LASSO) — q-mesh: 4x12x6, supercell: 1x2x1

../../_images/fig_kappa6573.png

(a) Temperature-dependent lattice thermal conductivity

../../_images/fig_kappa_vs_grain_size3519.png

(b) Peierls lattice thermal conductivity w.r.t grain size

Phonon lifetime and scattering rates

../../_images/fig_lifetime3443.png

(a) Phonon lifetime due to phonon-phonon scattering

../../_images/fig_scat_rates3442.png

(b) Phonon scattering rates

Cumulative and spectral thermal conductivity

../../_images/fig_cumu_frequency3443.png

(a) Spectral and cumulative thermal conductivity w.r.t frequency

../../_images/fig_cumu_mfp3442.png

(b) Spectral and cumulative thermal conductivity w.r.t MFP

Force constants

../../_images/fig_fc28305.png

(a) Force constants w.r.t atomic distance

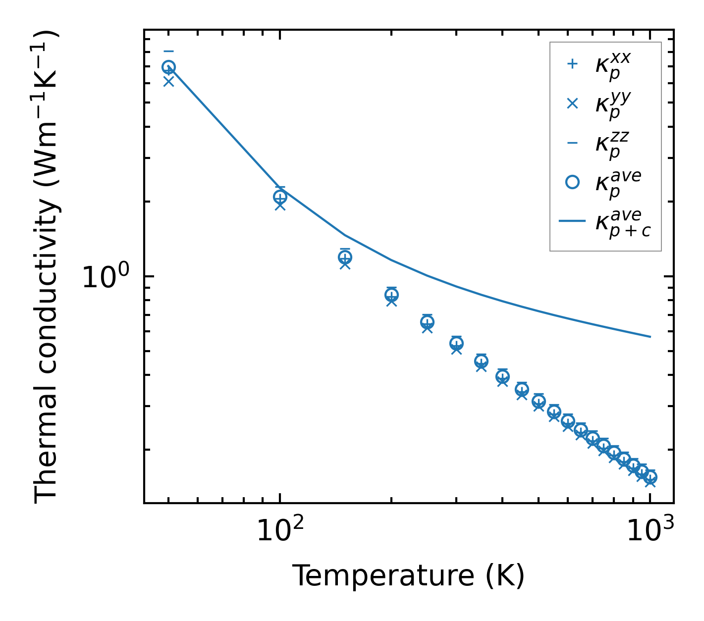
Summary

../../_images/fig_kappa6574.png

(a) Temperature-dependent lattice thermal conductivity

../../_images/fig_times14993.png

(b) Computation time