mp-556143/Na3Ga3Te2O12/anharm

Harmonic properties

../../_images/fig_bandos_pr8458.png

(a) Phonon dispersion with participation ratio and DOS

../../_images/fig_thermo8458.png

(b) Thermodynamic properties

Grüneisen parameters

../../_images/fig_gru_all3448.png

(a) Grüneisen parameters

../../_images/fig_gruneisen3448.png

(b) Phonon dispersion with Grüneisen parameters

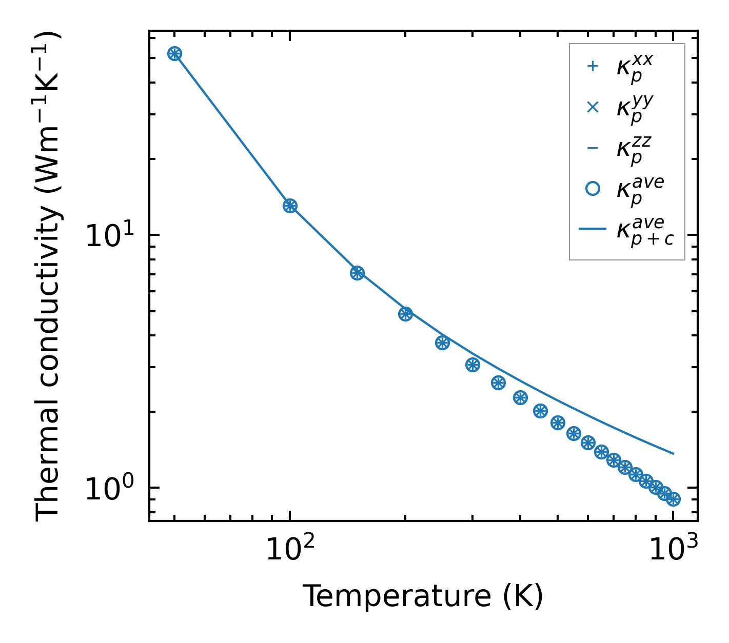
Thermal conductivity

3-phonon (LASSO) — q-mesh: 7x7x7, supercell: 1x1x1

../../_images/fig_kappa6523.png

(a) Temperature-dependent lattice thermal conductivity

../../_images/fig_kappa_vs_grain_size3491.png

(b) Peierls lattice thermal conductivity w.r.t grain size

Phonon lifetime and scattering rates

../../_images/fig_lifetime3416.png

(a) Phonon lifetime due to phonon-phonon scattering

../../_images/fig_scat_rates3415.png

(b) Phonon scattering rates

Cumulative and spectral thermal conductivity

../../_images/fig_cumu_frequency3416.png

(a) Spectral and cumulative thermal conductivity w.r.t frequency

../../_images/fig_cumu_mfp3415.png

(b) Spectral and cumulative thermal conductivity w.r.t MFP

Force constants

../../_images/fig_fc28220.png

(a) Force constants w.r.t atomic distance

Summary

../../_images/fig_kappa6524.png

(a) Temperature-dependent lattice thermal conductivity

../../_images/fig_times14837.png

(b) Computation time