mp-556066/Sr2LiSiO4F/anharm

Harmonic properties

../../_images/fig_bandos_pr8756.png

(a) Phonon dispersion with participation ratio and DOS

../../_images/fig_bandos12313.png

(b) Phonon dispersion and DOS

../../_images/fig_thermo8756.png

(c) Thermodynamic properties

Grüneisen parameters

../../_images/fig_gru_all3529.png

(a) Grüneisen parameters

../../_images/fig_gruneisen3529.png

(b) Phonon dispersion with Grüneisen parameters

Thermal conductivity

3-phonon (LASSO) — q-mesh: 11x13x10, supercell: 2x2x2

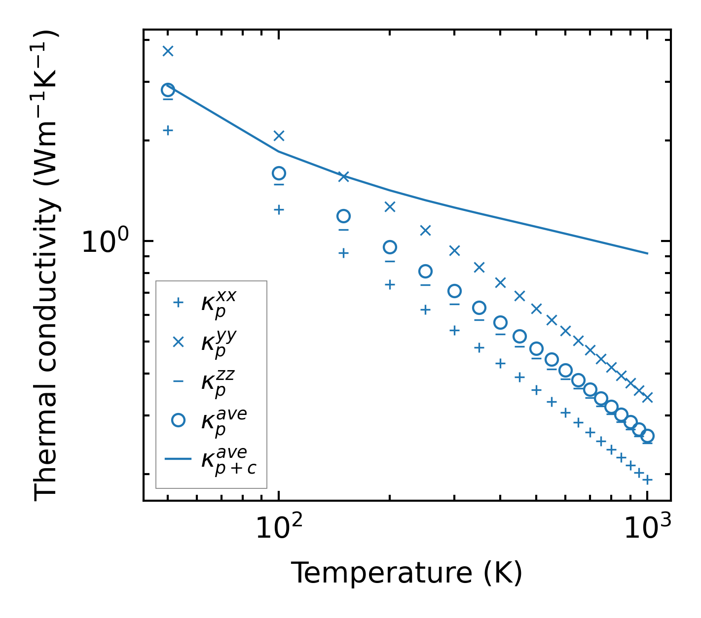
../../_images/fig_kappa6672.png

(a) Temperature-dependent lattice thermal conductivity

../../_images/fig_kappa_vs_grain_size3573.png

(b) Peierls lattice thermal conductivity w.r.t grain size

Phonon lifetime and scattering rates

../../_images/fig_lifetime3496.png

(a) Phonon lifetime due to phonon-phonon scattering

../../_images/fig_scat_rates3495.png

(b) Phonon scattering rates

Cumulative and spectral thermal conductivity

../../_images/fig_cumu_frequency3496.png

(a) Spectral and cumulative thermal conductivity w.r.t frequency

../../_images/fig_cumu_mfp3495.png

(b) Spectral and cumulative thermal conductivity w.r.t MFP

Force constants

../../_images/fig_fc28517.png

(a) Force constants w.r.t atomic distance

Summary

../../_images/fig_kappa6673.png

(a) Temperature-dependent lattice thermal conductivity

../../_images/fig_times15339.png

(b) Computation time