mp-556777/Li2CO3/anharm

Harmonic properties

../../_images/fig_bandos_pr8290.png

(a) Phonon dispersion with participation ratio and DOS

../../_images/fig_thermo8290.png

(b) Thermodynamic properties

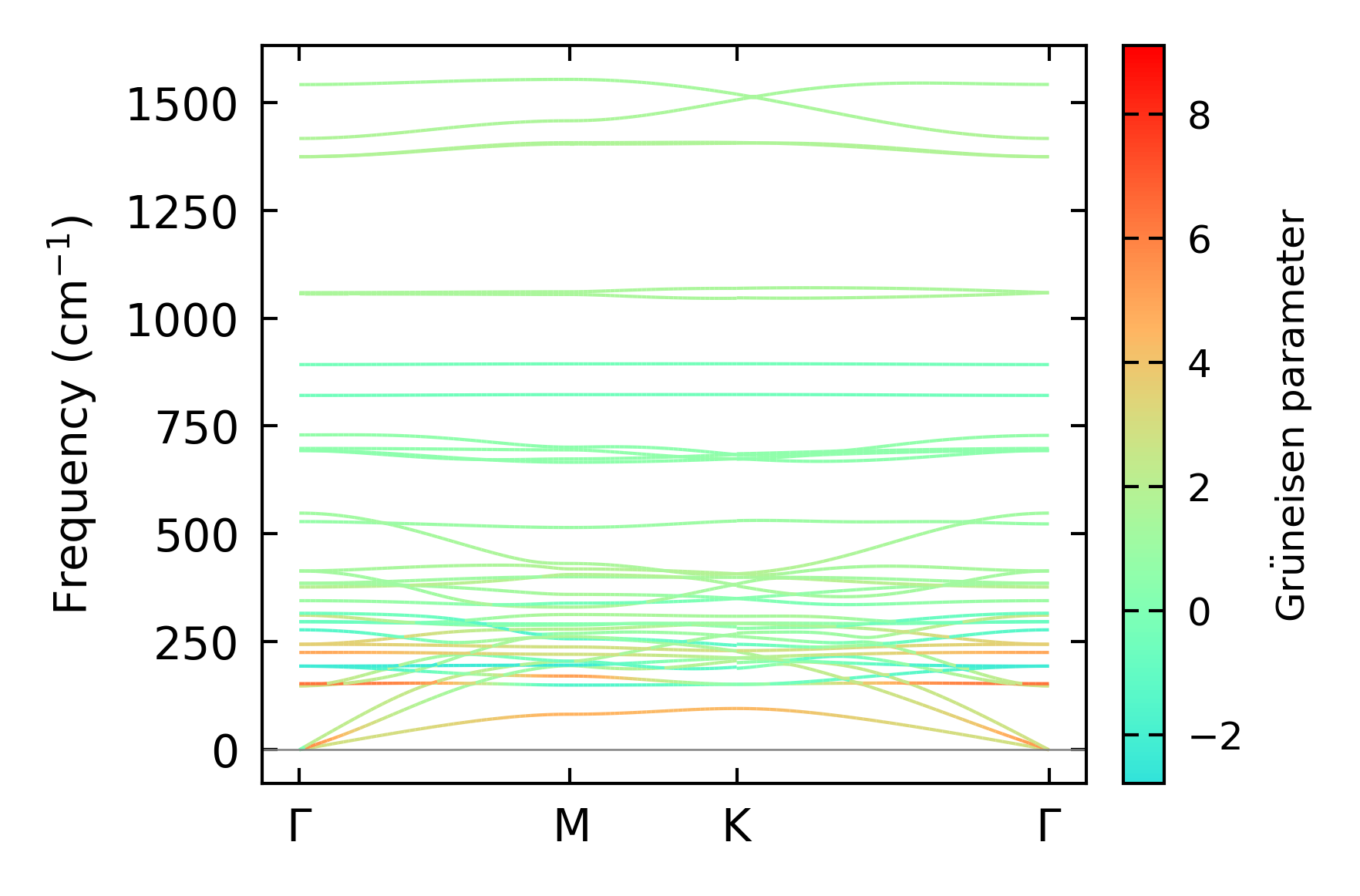
Grüneisen parameters

../../_images/fig_gru_all3384.png

(a) Grüneisen parameters

../../_images/fig_gruneisen3384.png

(b) Phonon dispersion with Grüneisen parameters

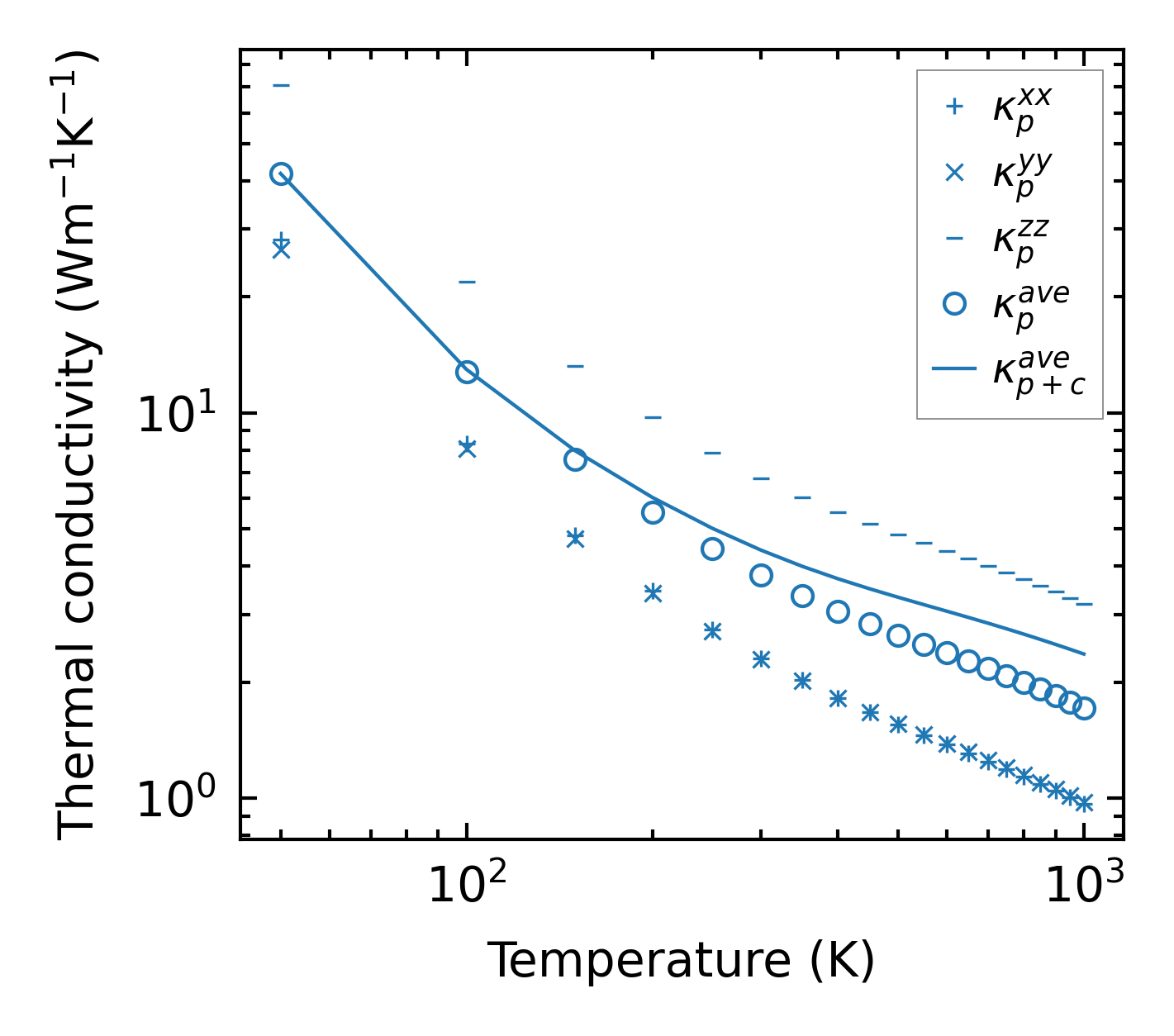
Thermal conductivity

3-phonon (LASSO) — q-mesh: 16x16x14, supercell: 2x2x2

../../_images/fig_kappa6402.png

(a) Temperature-dependent lattice thermal conductivity

../../_images/fig_kappa_vs_grain_size3428.png

(b) Peierls lattice thermal conductivity w.r.t grain size

Phonon lifetime and scattering rates

../../_images/fig_lifetime3353.png

(a) Phonon lifetime due to phonon-phonon scattering

../../_images/fig_scat_rates3352.png

(b) Phonon scattering rates

Cumulative and spectral thermal conductivity

../../_images/fig_cumu_frequency3353.png

(a) Spectral and cumulative thermal conductivity w.r.t frequency

../../_images/fig_cumu_mfp3352.png

(b) Spectral and cumulative thermal conductivity w.r.t MFP

Force constants

../../_images/fig_fc28052.png

(a) Force constants w.r.t atomic distance

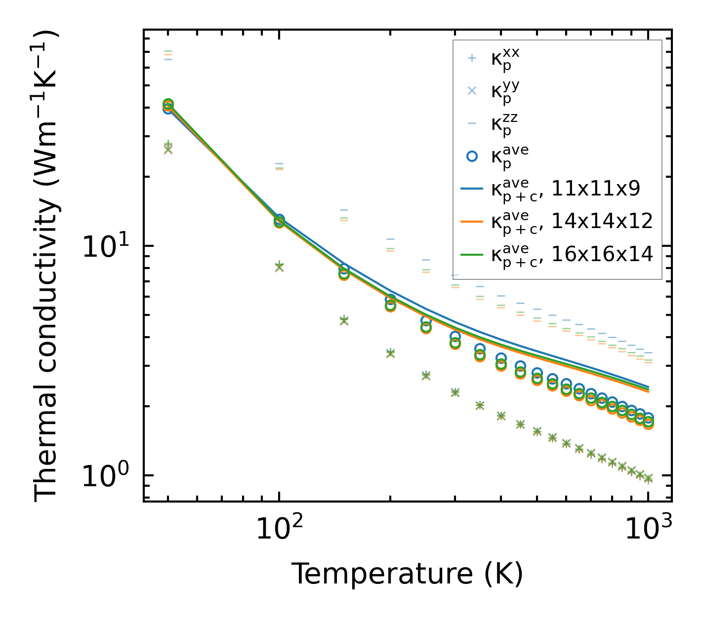
Summary

../../_images/fig_kappa6403.png

(a) Temperature-dependent lattice thermal conductivity

../../_images/fig_times14575.png

(b) Computation time