mp-556528/In4GeS4/anharm

Harmonic properties

../../_images/fig_bandos_pr8547.png

(a) Phonon dispersion with participation ratio and DOS

../../_images/fig_thermo8547.png

(b) Thermodynamic properties

Grüneisen parameters

../../_images/fig_gru_all3476.png

(a) Grüneisen parameters

../../_images/fig_gruneisen3476.png

(b) Phonon dispersion with Grüneisen parameters

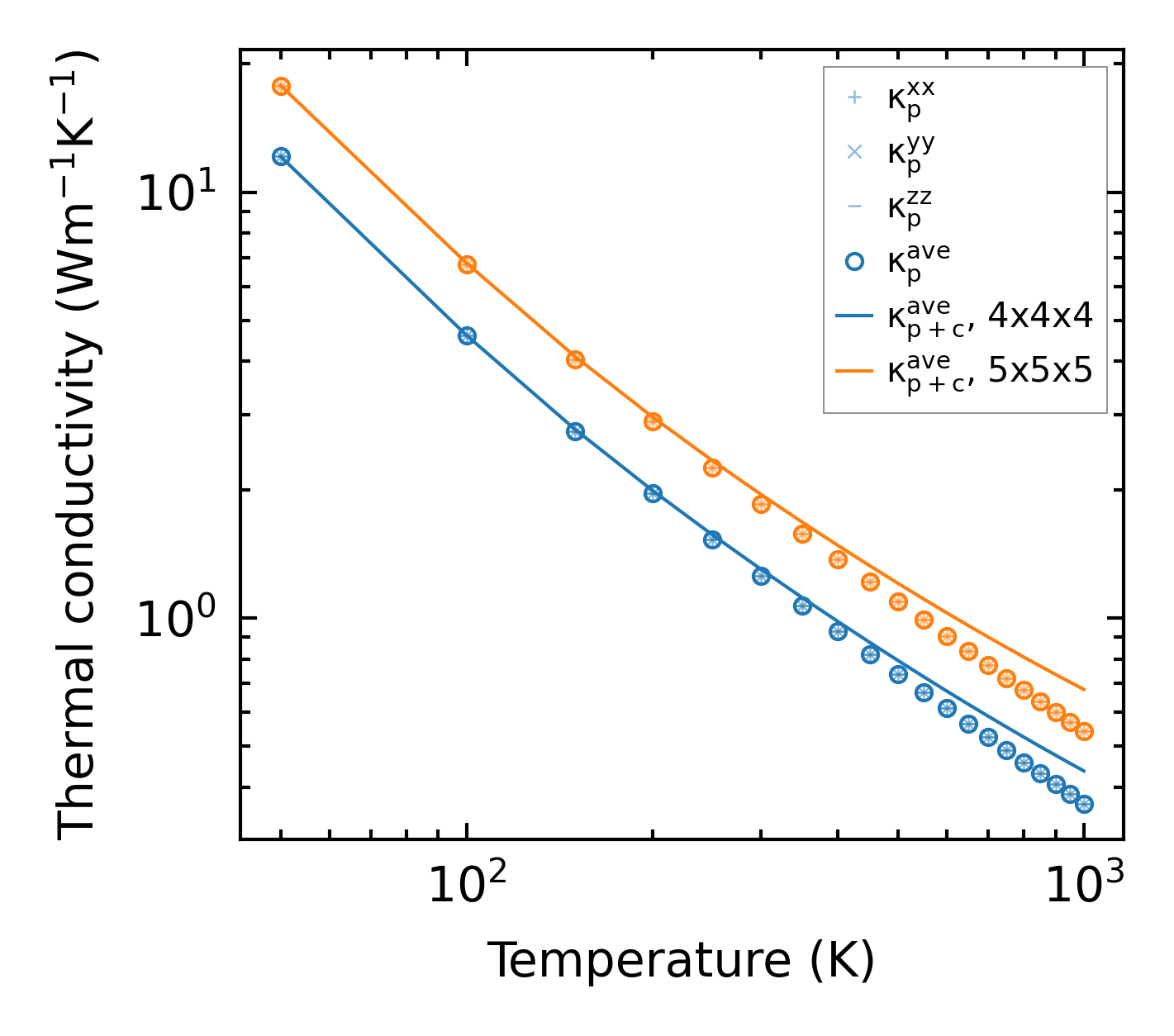
Thermal conductivity

3-phonon (LASSO) — q-mesh: 5x5x5, supercell: 1x1x1

../../_images/fig_kappa6575.png

(a) Temperature-dependent lattice thermal conductivity

../../_images/fig_kappa_vs_grain_size3520.png

(b) Peierls lattice thermal conductivity w.r.t grain size

Phonon lifetime and scattering rates

../../_images/fig_lifetime3444.png

(a) Phonon lifetime due to phonon-phonon scattering

../../_images/fig_scat_rates3443.png

(b) Phonon scattering rates

Cumulative and spectral thermal conductivity

../../_images/fig_cumu_frequency3444.png

(a) Spectral and cumulative thermal conductivity w.r.t frequency

../../_images/fig_cumu_mfp3443.png

(b) Spectral and cumulative thermal conductivity w.r.t MFP

Force constants

../../_images/fig_fc28308.png

(a) Force constants w.r.t atomic distance

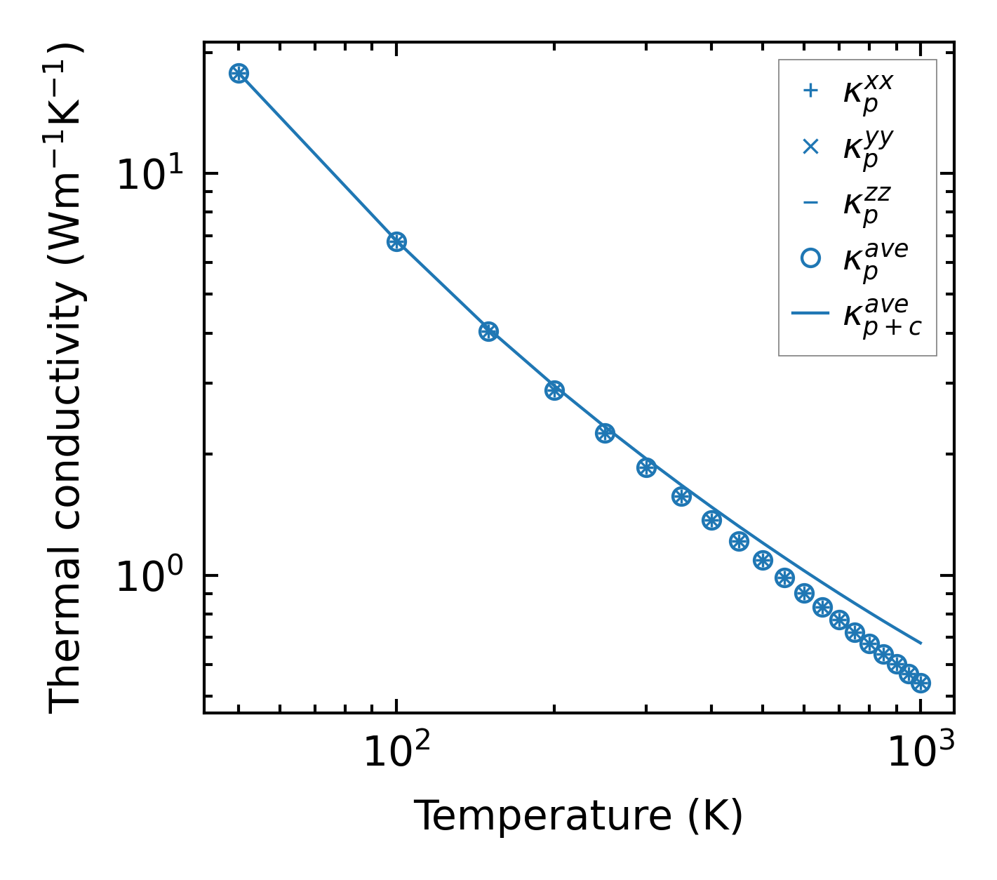
Summary

../../_images/fig_kappa6576.png

(a) Temperature-dependent lattice thermal conductivity

../../_images/fig_times14999.png

(b) Computation time