mp-556896/Ba4AgAuO6/anharm

Harmonic properties

../../_images/fig_bandos_pr8326.png

(a) Phonon dispersion with participation ratio and DOS

../../_images/fig_thermo8326.png

(b) Thermodynamic properties

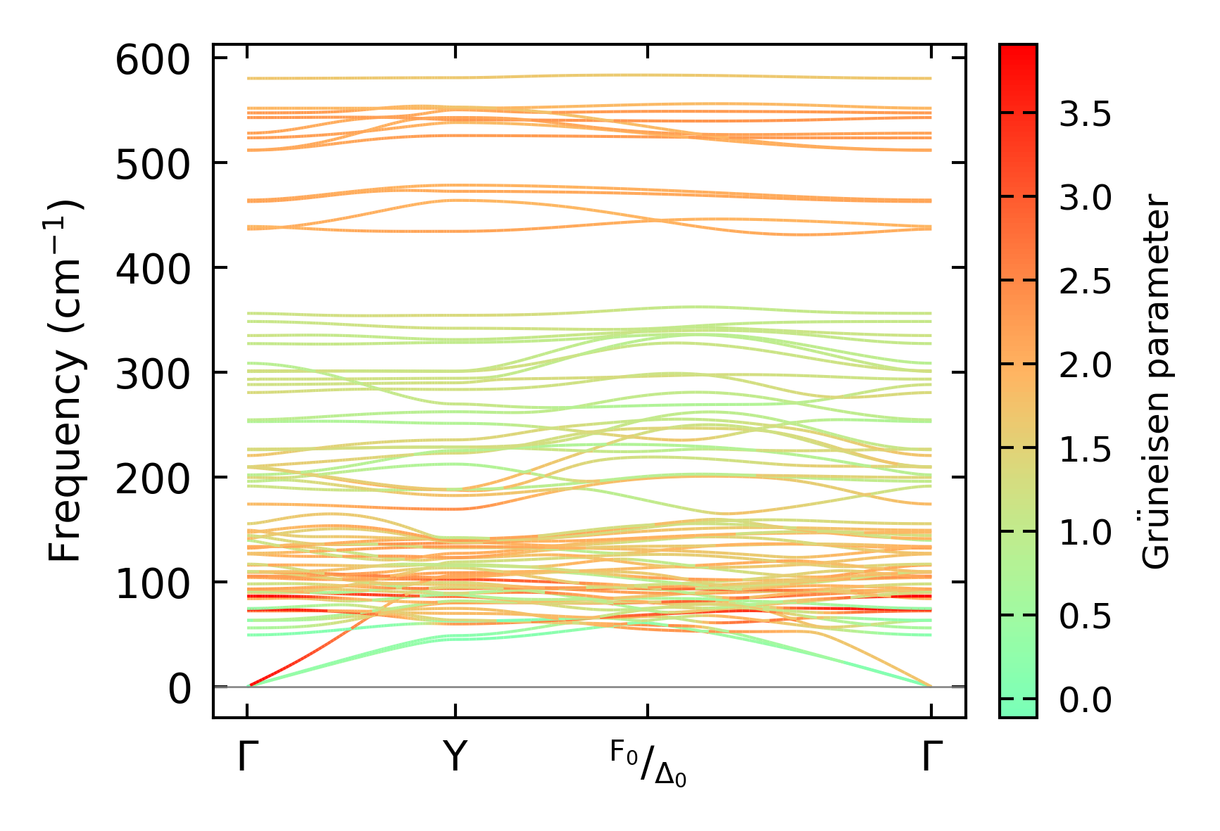
Grüneisen parameters

../../_images/fig_gru_all3393.png

(a) Grüneisen parameters

../../_images/fig_gruneisen3393.png

(b) Phonon dispersion with Grüneisen parameters

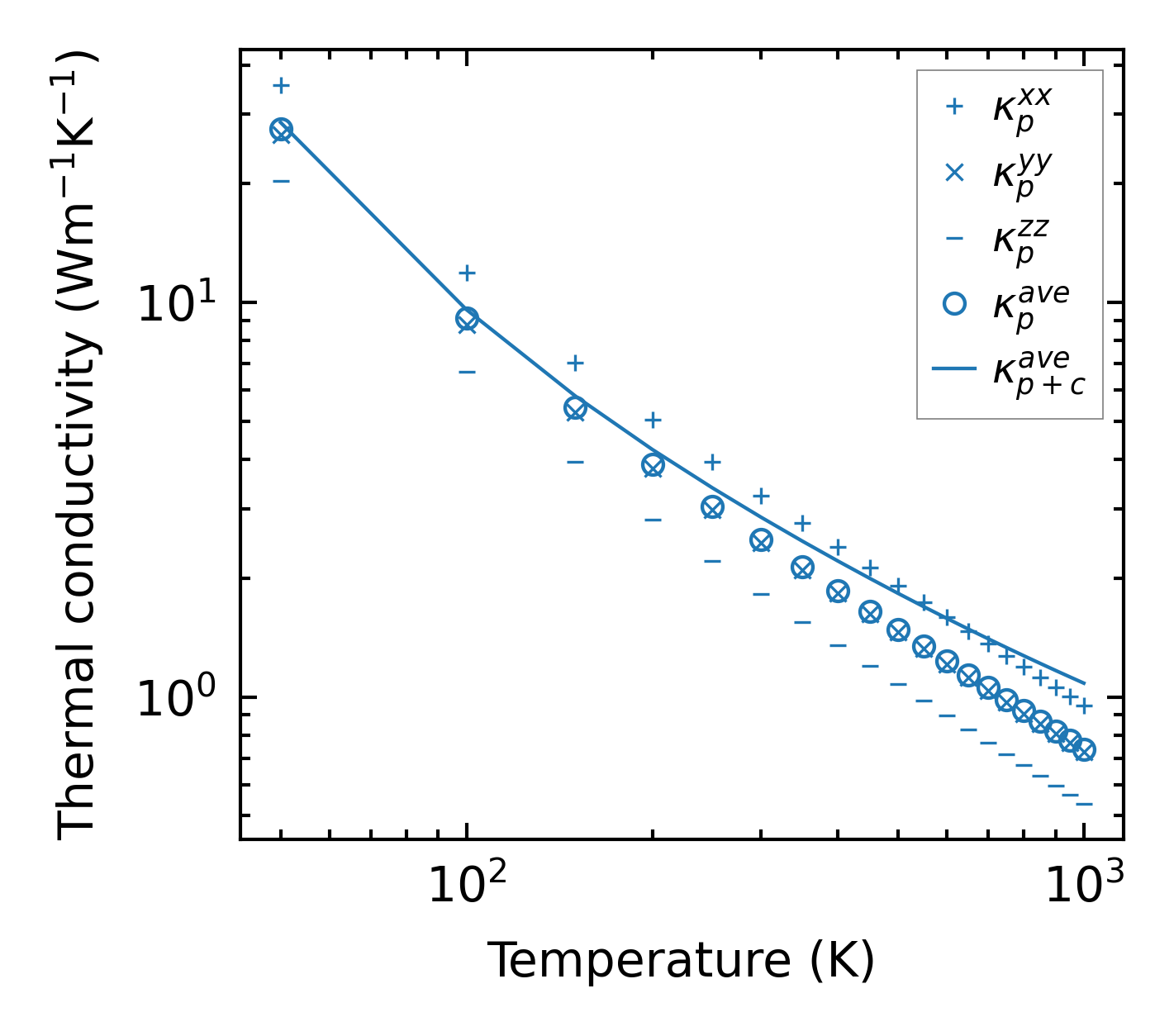
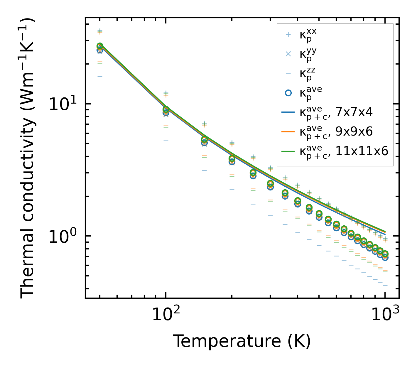
Thermal conductivity

3-phonon (LASSO) — q-mesh: 11x11x6, supercell: 1x2x1

../../_images/fig_kappa6419.png

(a) Temperature-dependent lattice thermal conductivity

../../_images/fig_kappa_vs_grain_size3437.png

(b) Peierls lattice thermal conductivity w.r.t grain size

Phonon lifetime and scattering rates

../../_images/fig_lifetime3362.png

(a) Phonon lifetime due to phonon-phonon scattering

../../_images/fig_scat_rates3361.png

(b) Phonon scattering rates

Cumulative and spectral thermal conductivity

../../_images/fig_cumu_frequency3362.png

(a) Spectral and cumulative thermal conductivity w.r.t frequency

../../_images/fig_cumu_mfp3361.png

(b) Spectral and cumulative thermal conductivity w.r.t MFP

Force constants

../../_images/fig_fc28088.png

(a) Force constants w.r.t atomic distance

Summary

../../_images/fig_kappa6420.png

(a) Temperature-dependent lattice thermal conductivity

../../_images/fig_times14632.png

(b) Computation time