mp-2994/Co2Ge3Te3/anharm

Harmonic properties

../../_images/fig_bandos_pr13302.png

(a) Phonon dispersion with participation ratio and DOS

../../_images/fig_thermo13302.png

(b) Thermodynamic properties

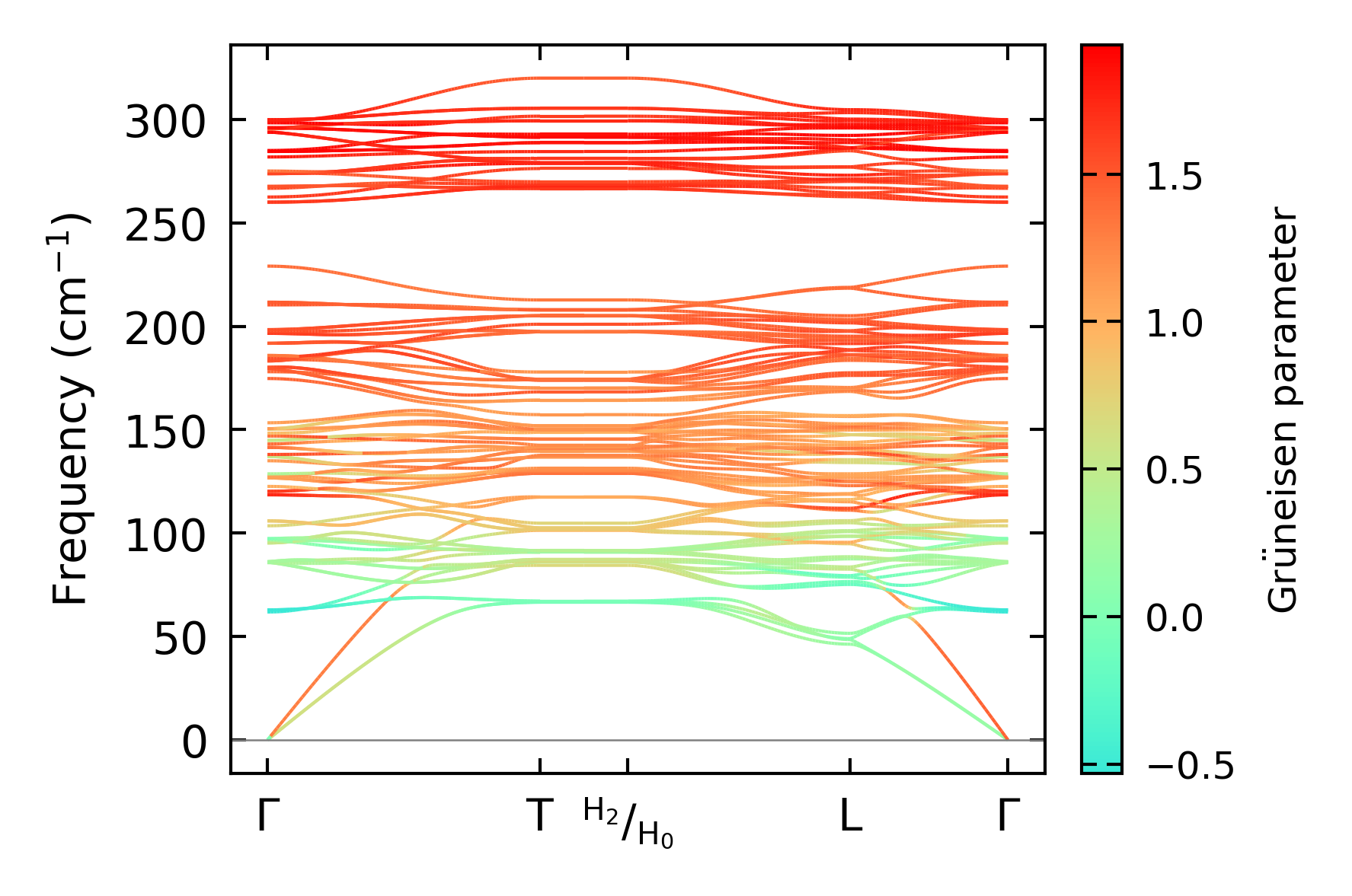
Grüneisen parameters

../../_images/fig_gru_all5600.png

(a) Grüneisen parameters

../../_images/fig_gruneisen5600.png

(b) Phonon dispersion with Grüneisen parameters

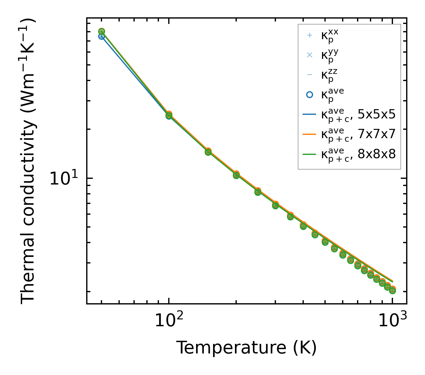
Thermal conductivity

3-phonon (LASSO) — q-mesh: 8x8x8, supercell: 1x1x1

../../_images/fig_kappa10521.png

(a) Temperature-dependent lattice thermal conductivity

../../_images/fig_kappa_vs_grain_size5664.png

(b) Peierls lattice thermal conductivity w.r.t grain size

Phonon lifetime and scattering rates

../../_images/fig_lifetime5545.png

(a) Phonon lifetime due to phonon-phonon scattering

../../_images/fig_scat_rates5544.png

(b) Phonon scattering rates

Cumulative and spectral thermal conductivity

../../_images/fig_cumu_frequency5545.png

(a) Spectral and cumulative thermal conductivity w.r.t frequency

../../_images/fig_cumu_mfp5544.png

(b) Spectral and cumulative thermal conductivity w.r.t MFP

Force constants

../../_images/fig_fc212944.png

(a) Force constants w.r.t atomic distance

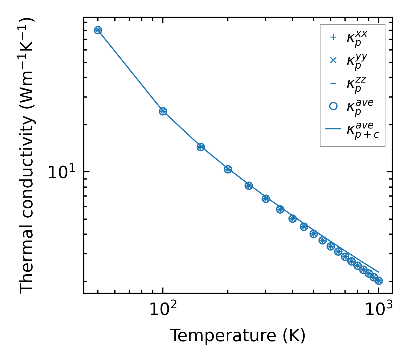
Summary

../../_images/fig_kappa10522.png

(a) Temperature-dependent lattice thermal conductivity

../../_images/fig_times22422.png

(b) Computation time