mp-2884-2/Cs2Mn3S4/anharm

Harmonic properties

../../_images/fig_bandos_pr13271.png

(a) Phonon dispersion with participation ratio and DOS

../../_images/fig_thermo13271.png

(b) Thermodynamic properties

Grüneisen parameters

../../_images/fig_gru_all5578.png

(a) Grüneisen parameters

../../_images/fig_gruneisen5578.png

(b) Phonon dispersion with Grüneisen parameters

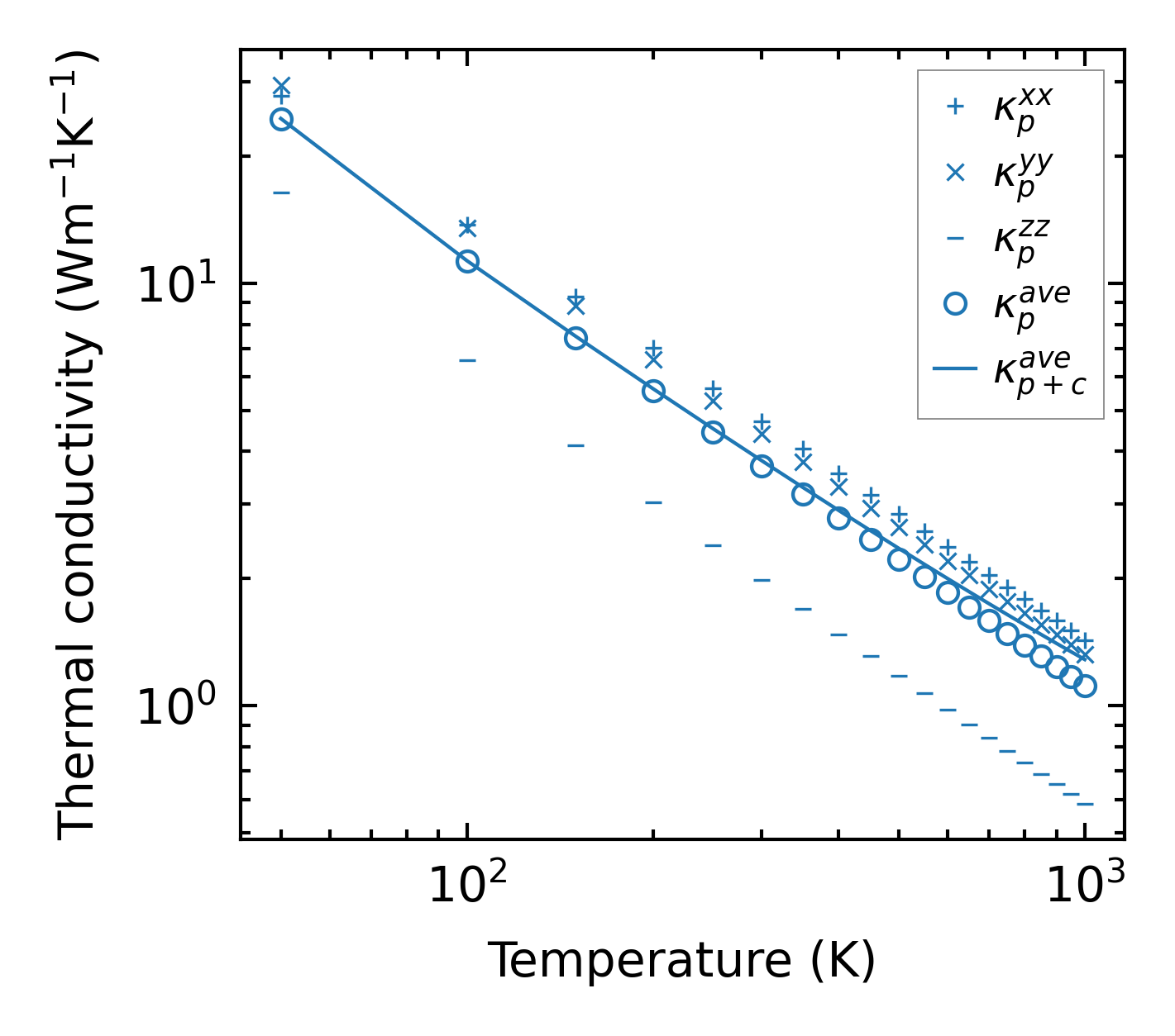
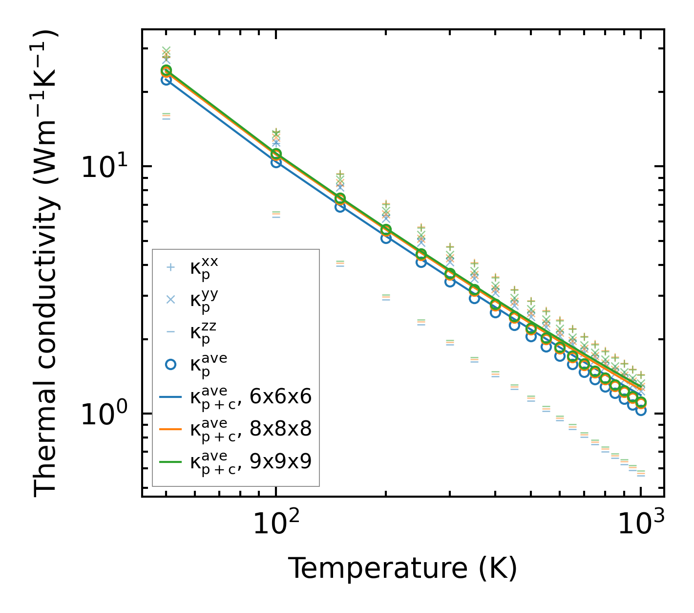
Thermal conductivity

3-phonon (LASSO) — q-mesh: 9x9x9, supercell: 2x2x1

../../_images/fig_kappa10478.png

(a) Temperature-dependent lattice thermal conductivity

../../_images/fig_kappa_vs_grain_size5642.png

(b) Peierls lattice thermal conductivity w.r.t grain size

Phonon lifetime and scattering rates

../../_images/fig_lifetime5523.png

(a) Phonon lifetime due to phonon-phonon scattering

../../_images/fig_scat_rates5522.png

(b) Phonon scattering rates

Cumulative and spectral thermal conductivity

../../_images/fig_cumu_frequency5523.png

(a) Spectral and cumulative thermal conductivity w.r.t frequency

../../_images/fig_cumu_mfp5522.png

(b) Spectral and cumulative thermal conductivity w.r.t MFP

Force constants

../../_images/fig_fc212914.png

(a) Force constants w.r.t atomic distance

Summary

../../_images/fig_kappa10479.png

(a) Temperature-dependent lattice thermal conductivity

../../_images/fig_times22383.png

(b) Computation time