mp-2064-2/RbF/anharm

Equation of state

../../_images/fig_bm6752.png

(a) Equation of state

Harmonic properties

../../_images/fig_bandos_pr13521.png

(a) Phonon dispersion with participation ratio and DOS

../../_images/fig_thermo13521.png

(b) Thermodynamic properties

Grüneisen parameters

../../_images/fig_gru_all5718.png

(a) Grüneisen parameters

../../_images/fig_gruneisen5718.png

(b) Phonon dispersion with Grüneisen parameters

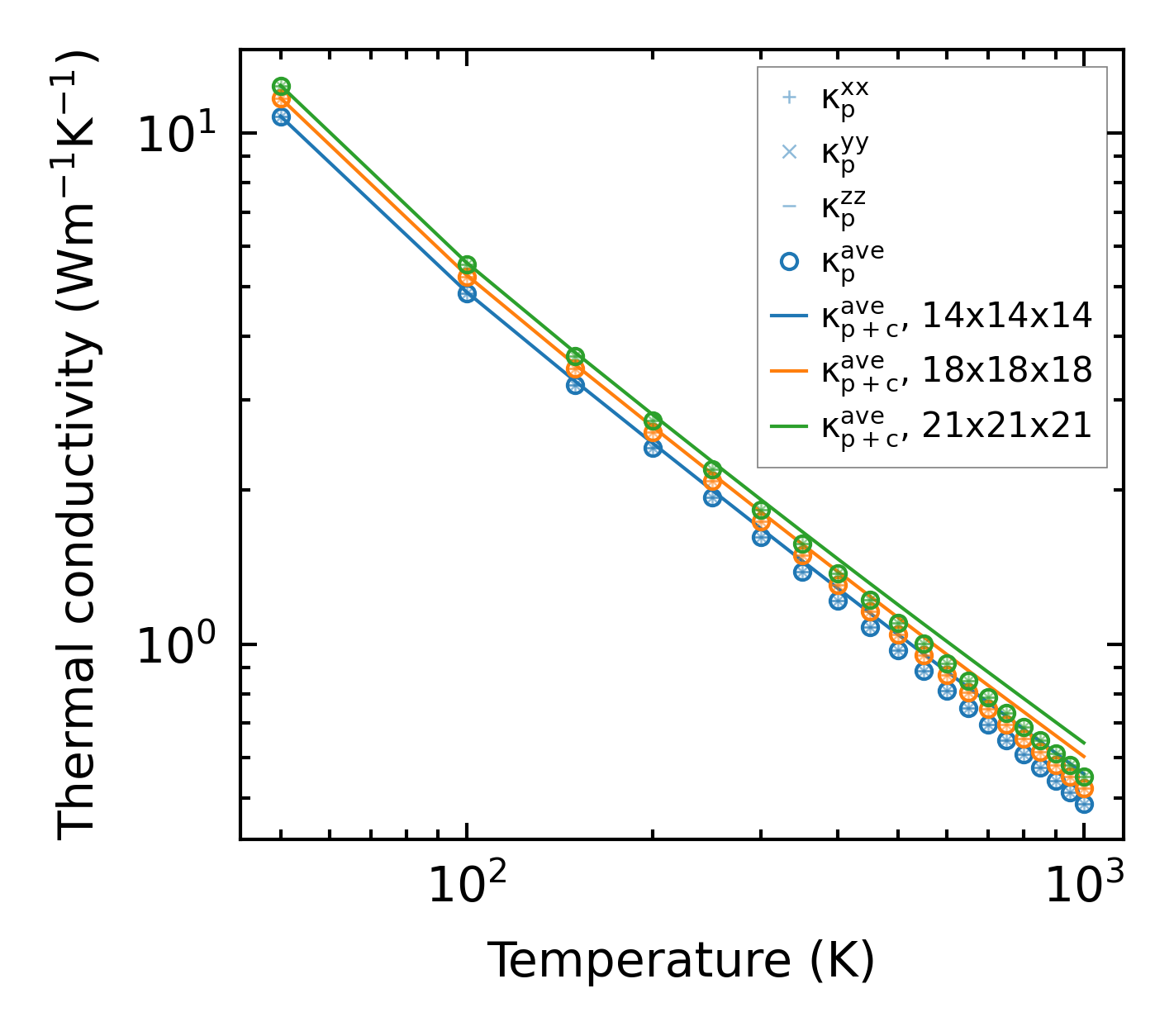
Thermal conductivity

3-phonon — q-mesh: 21x21x21, supercell: 4x4x4

../../_images/fig_kappa10749.png

(a) Temperature-dependent lattice thermal conductivity

../../_images/fig_kappa_vs_grain_size5786.png

(b) Peierls lattice thermal conductivity w.r.t grain size

Phonon lifetime and scattering rates

../../_images/fig_lifetime5663.png

(a) Phonon lifetime due to phonon-phonon scattering

../../_images/fig_scat_rates5662.png

(b) Phonon scattering rates

Cumulative and spectral thermal conductivity

../../_images/fig_cumu_frequency5663.png

(a) Spectral and cumulative thermal conductivity w.r.t frequency

../../_images/fig_cumu_mfp5662.png

(b) Spectral and cumulative thermal conductivity w.r.t MFP

Force constants

../../_images/fig_fc3367.png

(a) Force constants w.r.t atomic distance

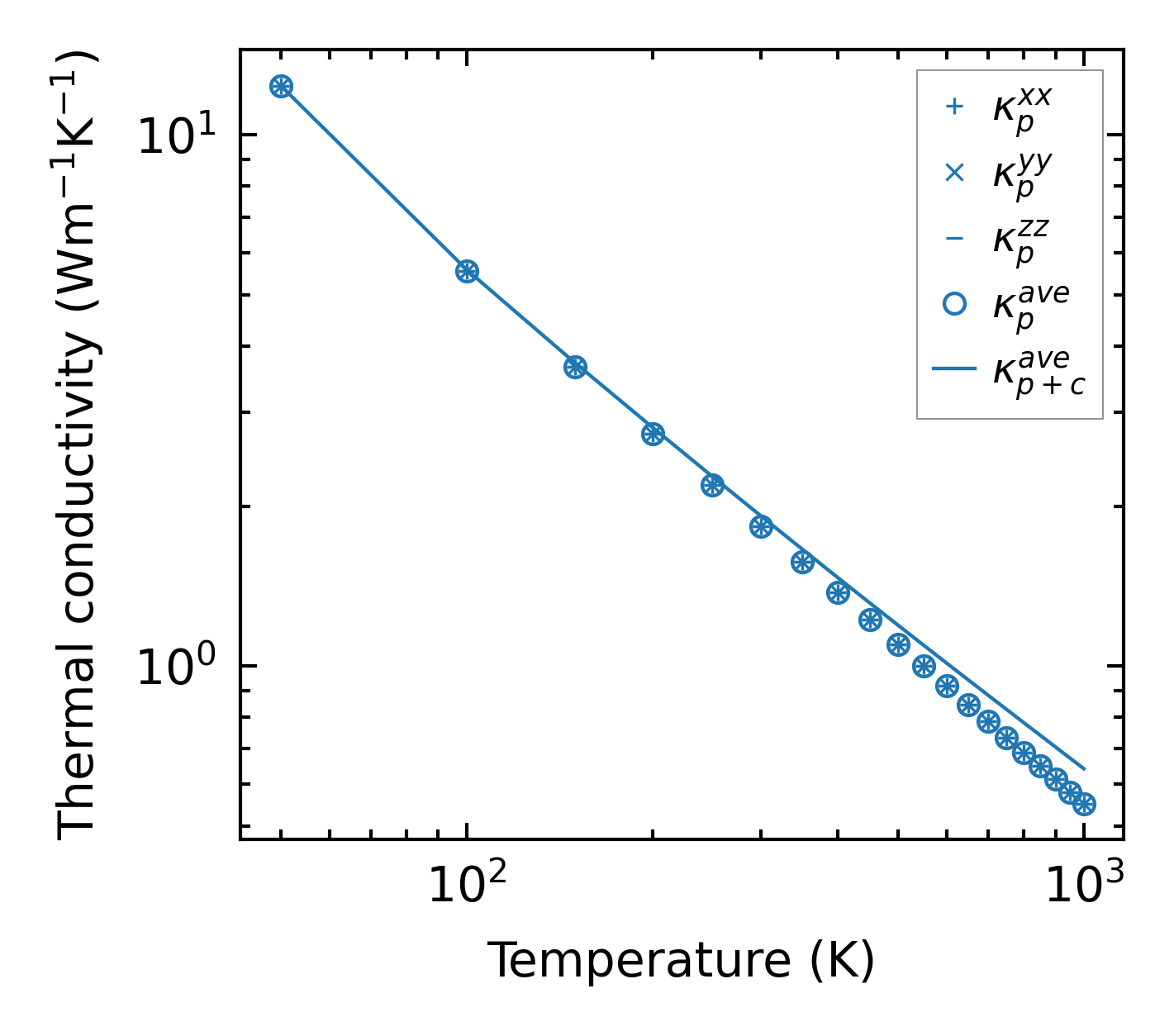
Summary

../../_images/fig_kappa10750.png

(a) Temperature-dependent lattice thermal conductivity

../../_images/fig_times22743.png

(b) Computation time