mp-2146/KGe/anharm

Harmonic properties

../../_images/fig_bandos_pr13532.png

(a) Phonon dispersion with participation ratio and DOS

../../_images/fig_thermo13532.png

(b) Thermodynamic properties

Grüneisen parameters

../../_images/fig_gru_all5729.png

(a) Grüneisen parameters

../../_images/fig_gruneisen5729.png

(b) Phonon dispersion with Grüneisen parameters

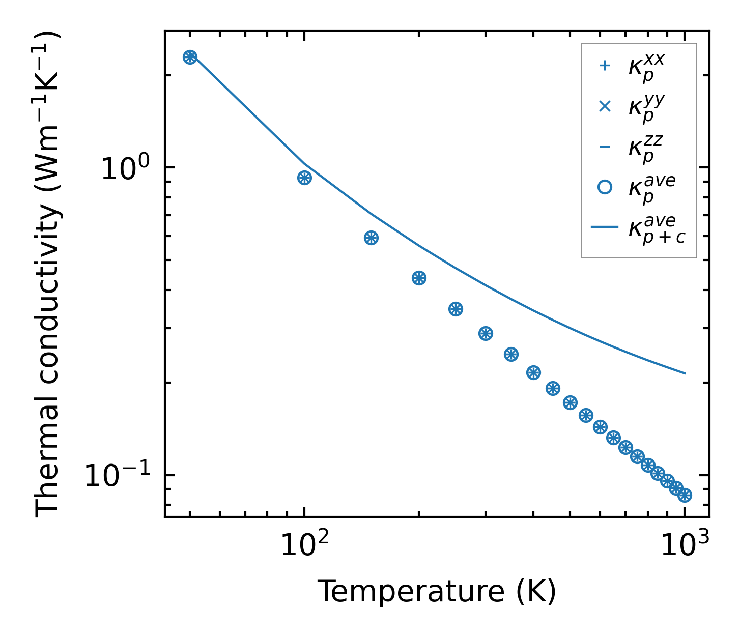
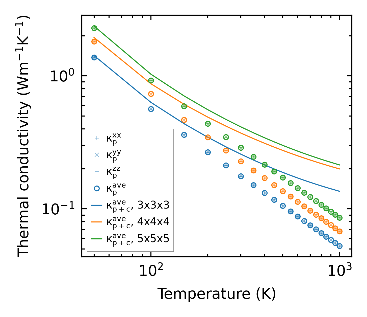
Thermal conductivity

3-phonon (LASSO) — q-mesh: 5x5x5, supercell: 1x1x1

../../_images/fig_kappa10770.png

(a) Temperature-dependent lattice thermal conductivity

../../_images/fig_kappa_vs_grain_size5797.png

(b) Peierls lattice thermal conductivity w.r.t grain size

Phonon lifetime and scattering rates

../../_images/fig_lifetime5674.png

(a) Phonon lifetime due to phonon-phonon scattering

../../_images/fig_scat_rates5673.png

(b) Phonon scattering rates

Cumulative and spectral thermal conductivity

../../_images/fig_cumu_frequency5674.png

(a) Spectral and cumulative thermal conductivity w.r.t frequency

../../_images/fig_cumu_mfp5673.png

(b) Spectral and cumulative thermal conductivity w.r.t MFP

Force constants

../../_images/fig_fc213164.png

(a) Force constants w.r.t atomic distance

Summary

../../_images/fig_kappa10771.png

(a) Temperature-dependent lattice thermal conductivity

../../_images/fig_times22765.png

(b) Computation time