mp-2507/GaS/anharm

Harmonic properties

../../_images/fig_bandos_pr13216.png

(a) Phonon dispersion with participation ratio and DOS

../../_images/fig_thermo13216.png

(b) Thermodynamic properties

Grüneisen parameters

../../_images/fig_gru_all5534.png

(a) Grüneisen parameters

../../_images/fig_gruneisen5534.png

(b) Phonon dispersion with Grüneisen parameters

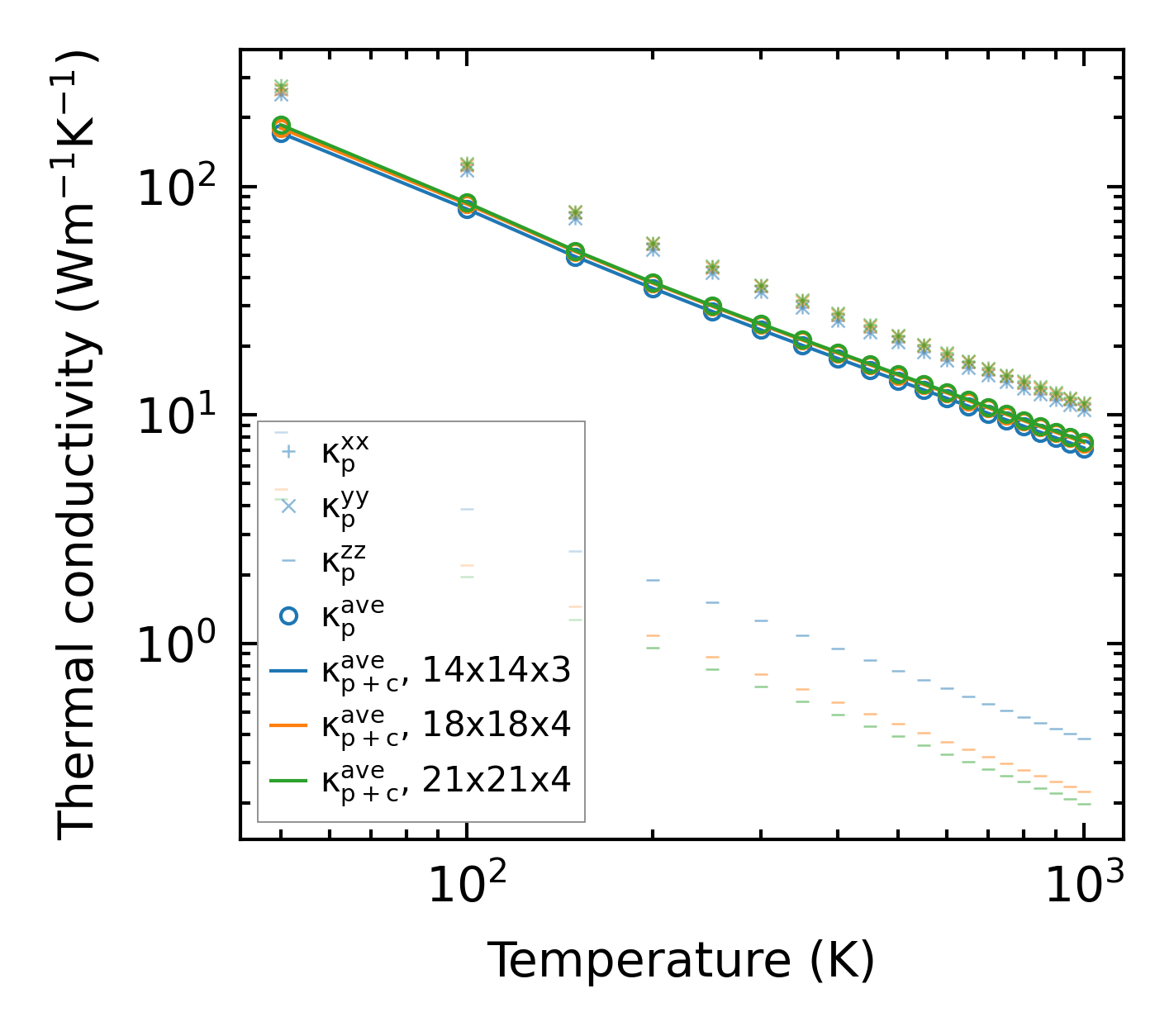
Thermal conductivity

3-phonon (LASSO) — q-mesh: 21x21x4, supercell: 4x4x1

../../_images/fig_kappa10393.png

(a) Temperature-dependent lattice thermal conductivity

../../_images/fig_kappa_vs_grain_size5599.png

(b) Peierls lattice thermal conductivity w.r.t grain size

Phonon lifetime and scattering rates

../../_images/fig_lifetime5480.png

(a) Phonon lifetime due to phonon-phonon scattering

../../_images/fig_scat_rates5479.png

(b) Phonon scattering rates

Cumulative and spectral thermal conductivity

../../_images/fig_cumu_frequency5480.png

(a) Spectral and cumulative thermal conductivity w.r.t frequency

../../_images/fig_cumu_mfp5479.png

(b) Spectral and cumulative thermal conductivity w.r.t MFP

Force constants

../../_images/fig_fc212869.png

(a) Force constants w.r.t atomic distance

Summary

../../_images/fig_kappa10394.png

(a) Temperature-dependent lattice thermal conductivity

../../_images/fig_times22308.png

(b) Computation time