mp-2948/Si2N2O/anharm

Harmonic properties

../../_images/fig_bandos_pr13283.png

(a) Phonon dispersion with participation ratio and DOS

../../_images/fig_thermo13283.png

(b) Thermodynamic properties

Grüneisen parameters

../../_images/fig_gru_all5588.png

(a) Grüneisen parameters

../../_images/fig_gruneisen5588.png

(b) Phonon dispersion with Grüneisen parameters

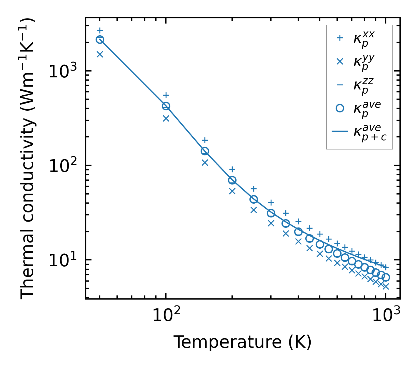
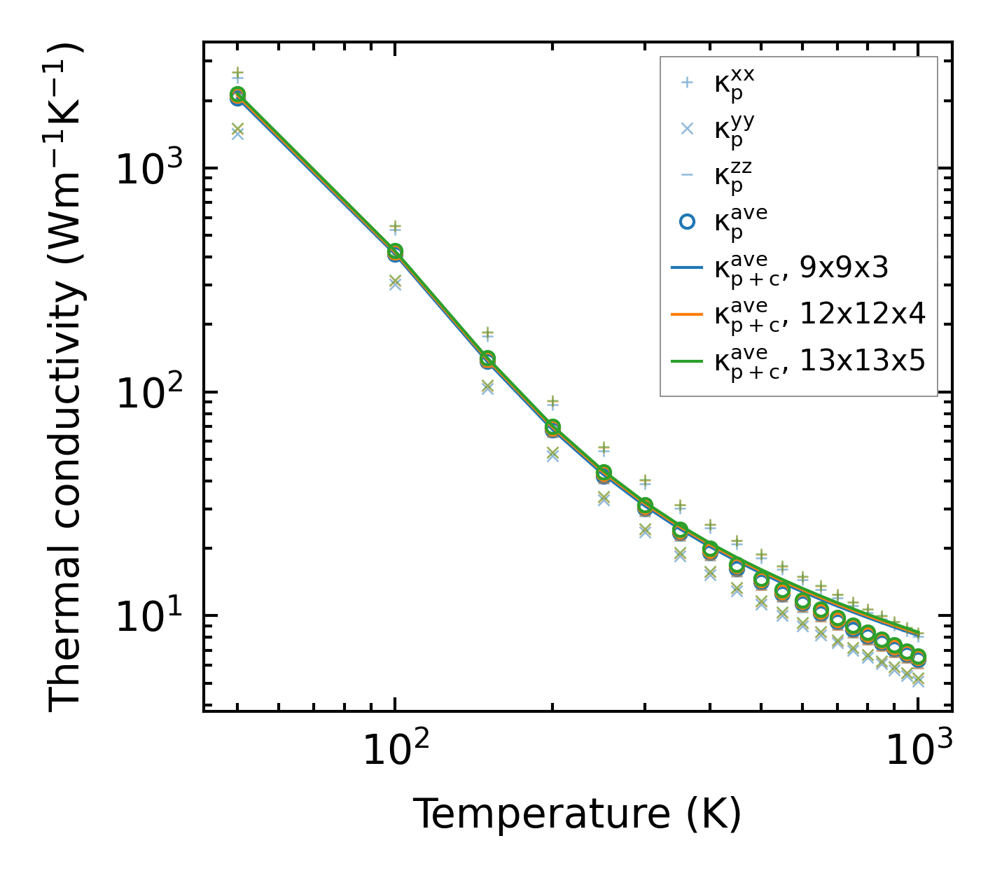
Thermal conductivity

3-phonon (LASSO) — q-mesh: 13x13x5, supercell: 1x1x1

../../_images/fig_kappa10498.png

(a) Temperature-dependent lattice thermal conductivity

../../_images/fig_kappa_vs_grain_size5652.png

(b) Peierls lattice thermal conductivity w.r.t grain size

Phonon lifetime and scattering rates

../../_images/fig_lifetime5533.png

(a) Phonon lifetime due to phonon-phonon scattering

../../_images/fig_scat_rates5532.png

(b) Phonon scattering rates

Cumulative and spectral thermal conductivity

../../_images/fig_cumu_frequency5533.png

(a) Spectral and cumulative thermal conductivity w.r.t frequency

../../_images/fig_cumu_mfp5532.png

(b) Spectral and cumulative thermal conductivity w.r.t MFP

Force constants

../../_images/fig_fc212925.png

(a) Force constants w.r.t atomic distance

Summary

../../_images/fig_kappa10499.png

(a) Temperature-dependent lattice thermal conductivity

../../_images/fig_times22400.png

(b) Computation time