mp-2309-2/Tm2S3/anharm

Equation of state

../../_images/fig_bm6596.png

(a) Equation of state

Harmonic properties

../../_images/fig_bandos_pr13187.png

(a) Phonon dispersion with participation ratio and DOS

../../_images/fig_bandos17587.png

(b) Phonon dispersion and DOS

../../_images/fig_thermo13187.png

(c) Thermodynamic properties

Grüneisen parameters

../../_images/fig_gru_all5515.png

(a) Grüneisen parameters

../../_images/fig_gruneisen5515.png

(b) Phonon dispersion with Grüneisen parameters

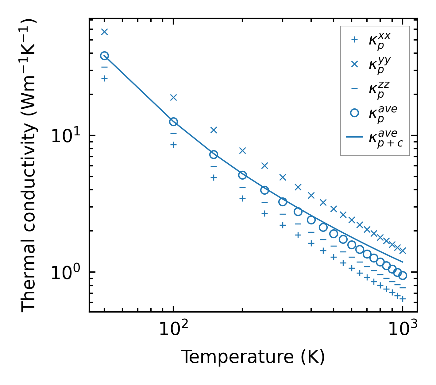
Thermal conductivity

3-phonon (LASSO), supercell 2x3x2 — q-mesh: 6x19x6, supercell: 2x3x2

../../_images/fig_kappa10357.png

(a) Temperature-dependent lattice thermal conductivity

../../_images/fig_kappa_vs_grain_size5580.png

(b) Peierls lattice thermal conductivity w.r.t grain size

Phonon lifetime and scattering rates

../../_images/fig_lifetime5462.png

(a) Phonon lifetime due to phonon-phonon scattering

../../_images/fig_scat_rates5461.png

(b) Phonon scattering rates

Cumulative and spectral thermal conductivity

../../_images/fig_cumu_frequency5462.png

(a) Spectral and cumulative thermal conductivity w.r.t frequency

../../_images/fig_cumu_mfp5461.png

(b) Spectral and cumulative thermal conductivity w.r.t MFP

Force constants

../../_images/fig_fc212844.png

(a) Force constants w.r.t atomic distance

Summary

../../_images/fig_times22270.png

(a) Computation time