mp-2095-2/Rb2Te3/anharm

Equation of state

../../_images/fig_bm6755.png

(a) Equation of state

Harmonic properties

../../_images/fig_bandos_pr13529.png

(a) Phonon dispersion with participation ratio and DOS

../../_images/fig_bandos17883.png

(b) Phonon dispersion and DOS

../../_images/fig_thermo13529.png

(c) Thermodynamic properties

Grüneisen parameters

../../_images/fig_gru_all5726.png

(a) Grüneisen parameters

../../_images/fig_gruneisen5726.png

(b) Phonon dispersion with Grüneisen parameters

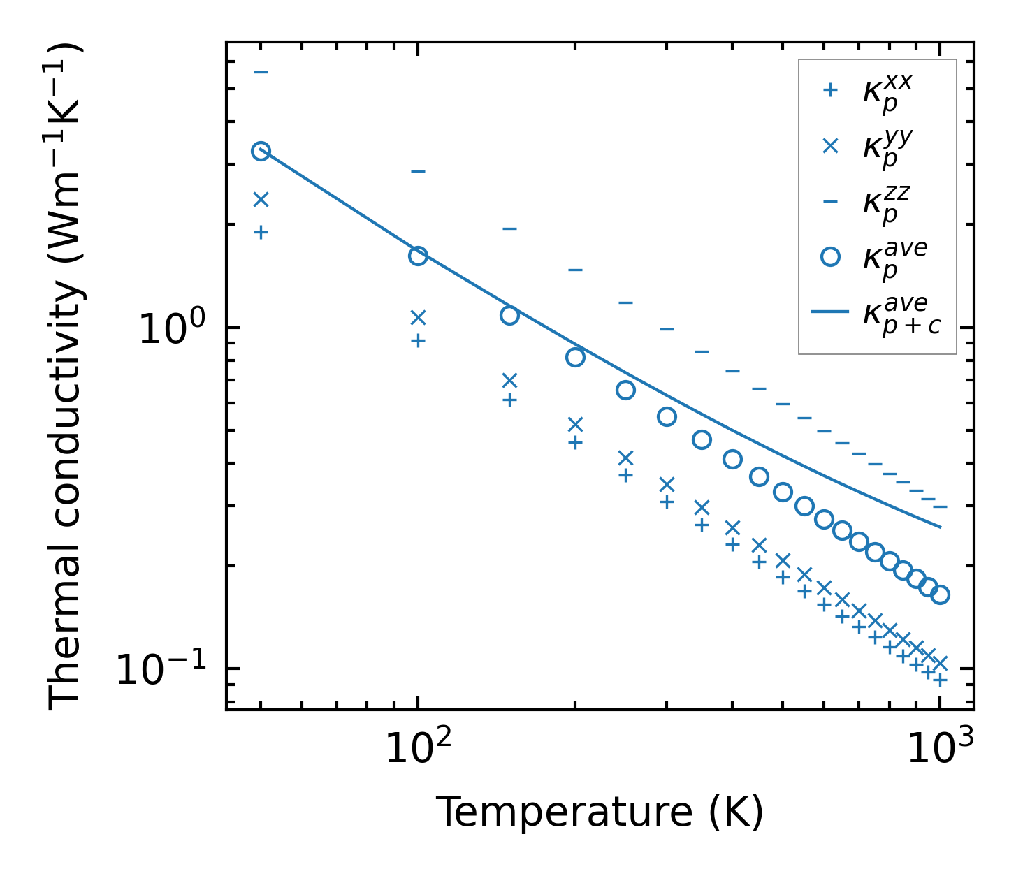
Thermal conductivity

3-phonon (LASSO), supercell 1x2x4 — q-mesh: 4x6x16, supercell: 1x2x4

../../_images/fig_kappa10765.png

(a) Temperature-dependent lattice thermal conductivity

../../_images/fig_kappa_vs_grain_size5794.png

(b) Peierls lattice thermal conductivity w.r.t grain size

Phonon lifetime and scattering rates

../../_images/fig_lifetime5671.png

(a) Phonon lifetime due to phonon-phonon scattering

../../_images/fig_scat_rates5670.png

(b) Phonon scattering rates

Cumulative and spectral thermal conductivity

../../_images/fig_cumu_frequency5671.png

(a) Spectral and cumulative thermal conductivity w.r.t frequency

../../_images/fig_cumu_mfp5670.png

(b) Spectral and cumulative thermal conductivity w.r.t MFP

Force constants

../../_images/fig_fc213161.png

(a) Force constants w.r.t atomic distance

Summary

../../_images/fig_times22754.png

(a) Computation time