mp-2853-2/GaN/anharm

Equation of state

../../_images/fig_bm6627.png

(a) Equation of state

Harmonic properties

../../_images/fig_bandos_pr13264.png

(a) Phonon dispersion with participation ratio and DOS

../../_images/fig_bandos17637.png

(b) Phonon dispersion and DOS

../../_images/fig_thermo13264.png

(c) Thermodynamic properties

Grüneisen parameters

../../_images/fig_gru_all5573.png

(a) Grüneisen parameters

../../_images/fig_gruneisen5573.png

(b) Phonon dispersion with Grüneisen parameters

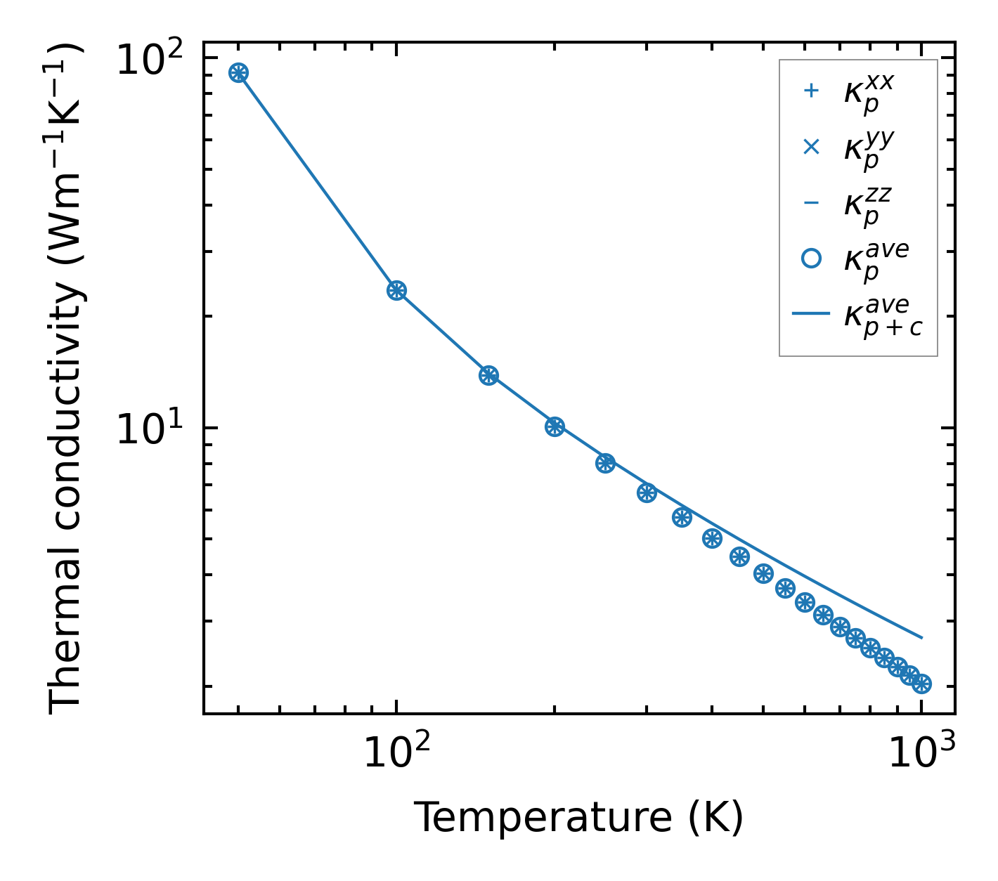
Thermal conductivity

3-phonon, supercell 3x3x3 — q-mesh: 27x27x27, supercell: 3x3x3

../../_images/fig_kappa10469.png

(a) Temperature-dependent lattice thermal conductivity

../../_images/fig_kappa_vs_grain_size5637.png

(b) Peierls lattice thermal conductivity w.r.t grain size

Phonon lifetime and scattering rates

../../_images/fig_lifetime5518.png

(a) Phonon lifetime due to phonon-phonon scattering

../../_images/fig_scat_rates5517.png

(b) Phonon scattering rates

Cumulative and spectral thermal conductivity

../../_images/fig_cumu_frequency5518.png

(a) Spectral and cumulative thermal conductivity w.r.t frequency

../../_images/fig_cumu_mfp5517.png

(b) Spectral and cumulative thermal conductivity w.r.t MFP

Force constants

../../_images/fig_fc3357.png

(a) Force constants w.r.t atomic distance

Summary

../../_images/fig_times22374.png

(a) Computation time