mp-2139/BaGe2/anharm

Harmonic properties

../../_images/fig_bandos_pr13531.png

(a) Phonon dispersion with participation ratio and DOS

../../_images/fig_thermo13531.png

(b) Thermodynamic properties

Grüneisen parameters

../../_images/fig_gru_all5728.png

(a) Grüneisen parameters

../../_images/fig_gruneisen5728.png

(b) Phonon dispersion with Grüneisen parameters

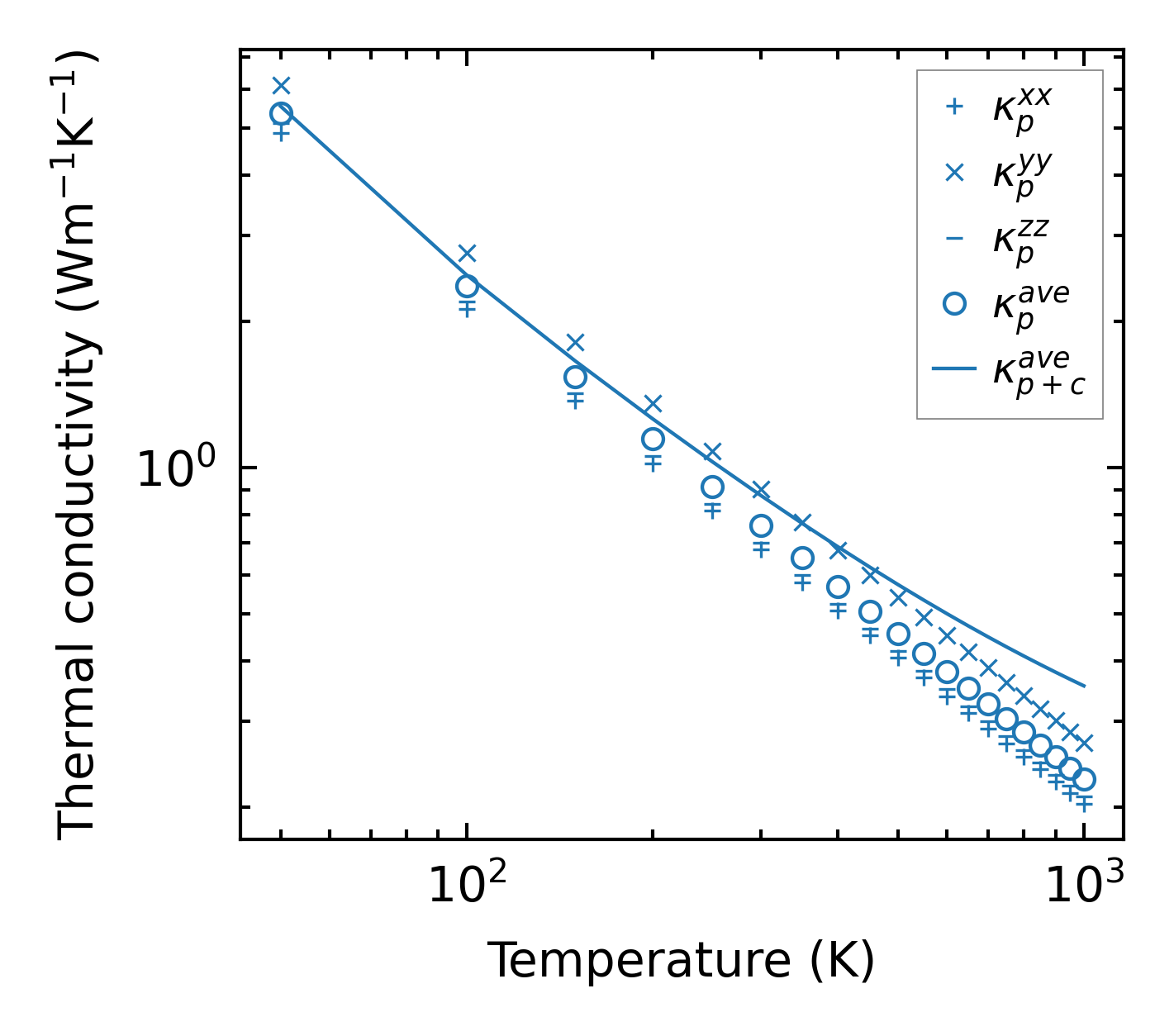
Thermal conductivity

3-phonon (LASSO) — q-mesh: 7x10x6, supercell: 2x2x1

../../_images/fig_kappa10768.png

(a) Temperature-dependent lattice thermal conductivity

../../_images/fig_kappa_vs_grain_size5796.png

(b) Peierls lattice thermal conductivity w.r.t grain size

Phonon lifetime and scattering rates

../../_images/fig_lifetime5673.png

(a) Phonon lifetime due to phonon-phonon scattering

../../_images/fig_scat_rates5672.png

(b) Phonon scattering rates

Cumulative and spectral thermal conductivity

../../_images/fig_cumu_frequency5673.png

(a) Spectral and cumulative thermal conductivity w.r.t frequency

../../_images/fig_cumu_mfp5672.png

(b) Spectral and cumulative thermal conductivity w.r.t MFP

Force constants

../../_images/fig_fc213163.png

(a) Force constants w.r.t atomic distance

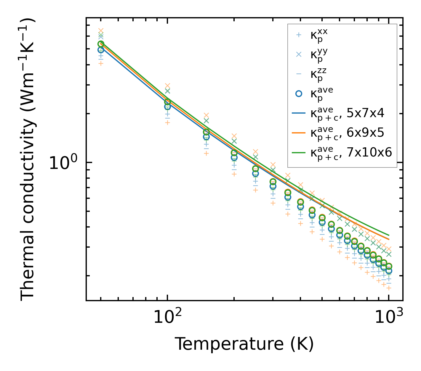
Summary

../../_images/fig_kappa10769.png

(a) Temperature-dependent lattice thermal conductivity

../../_images/fig_times22764.png

(b) Computation time