mp-2402-2/NaSi/anharm

Equation of state

../../_images/fig_bm6601.png

(a) Equation of state

Harmonic properties

../../_images/fig_bandos_pr13199.png

(a) Phonon dispersion with participation ratio and DOS

../../_images/fig_thermo13199.png

(b) Thermodynamic properties

Grüneisen parameters

../../_images/fig_gru_all5526.png

(a) Grüneisen parameters

../../_images/fig_gruneisen5526.png

(b) Phonon dispersion with Grüneisen parameters

Thermal conductivity

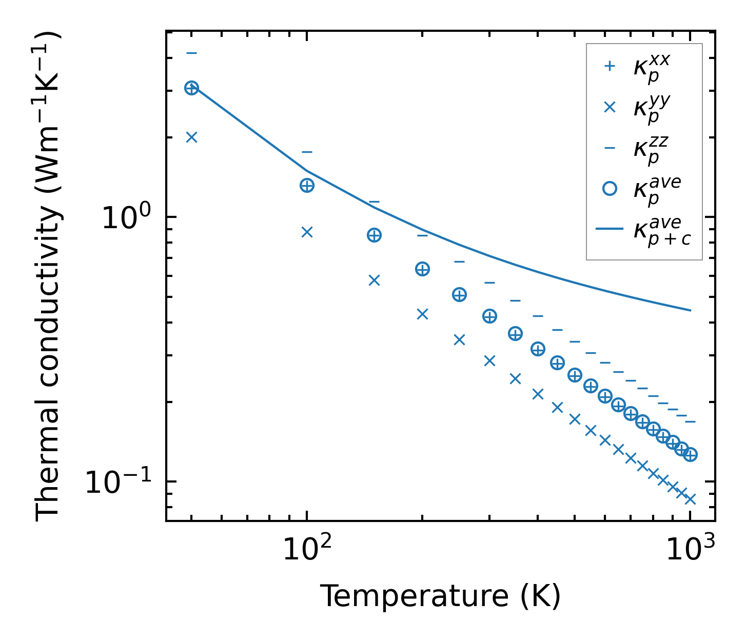
3-phonon (LASSO) — q-mesh: 11x11x7, supercell: 1x2x2

../../_images/fig_kappa10376.png

(a) Temperature-dependent lattice thermal conductivity

../../_images/fig_kappa_vs_grain_size5590.png

(b) Peierls lattice thermal conductivity w.r.t grain size

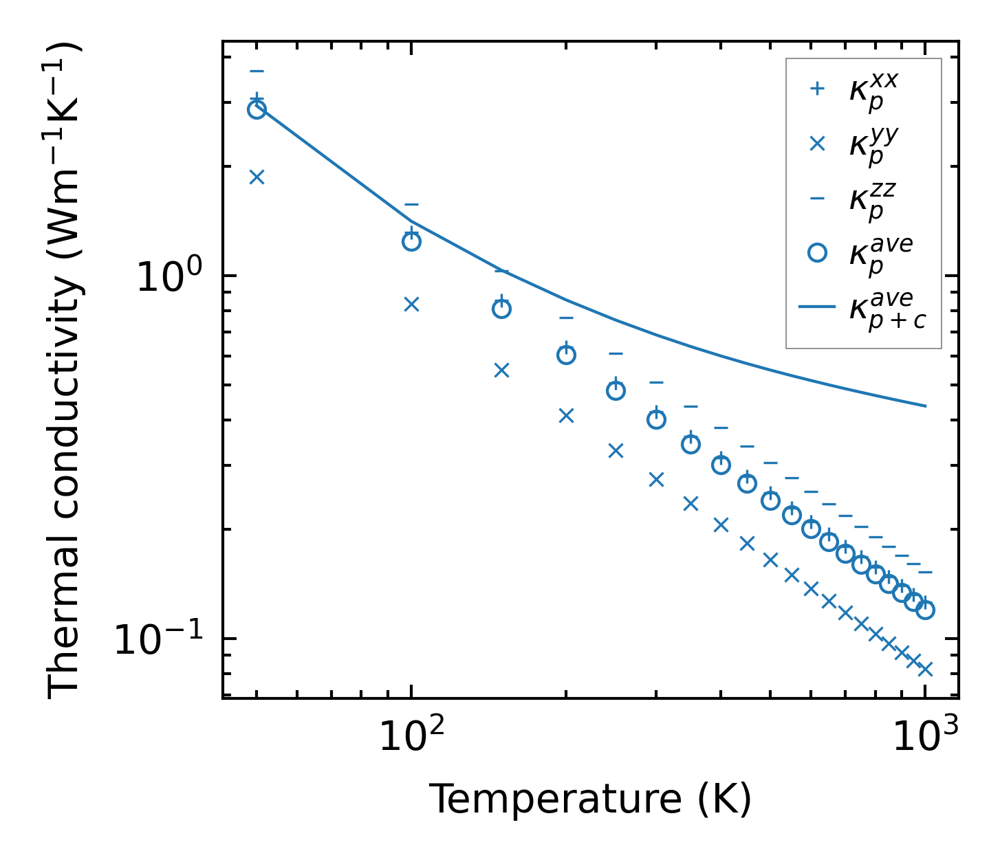
3-phonon (LASSO), supercell 2x2x2 — q-mesh: 11x11x7, supercell: 2x2x2

../../_images/fig_kappa10377.png

(a) Temperature-dependent lattice thermal conductivity

../../_images/fig_kappa_vs_grain_size5591.png

(b) Peierls lattice thermal conductivity w.r.t grain size

Phonon lifetime and scattering rates

../../_images/fig_lifetime5472.png

(a) Phonon lifetime due to phonon-phonon scattering

../../_images/fig_scat_rates5471.png

(b) Phonon scattering rates

Cumulative and spectral thermal conductivity

../../_images/fig_cumu_frequency5472.png

(a) Spectral and cumulative thermal conductivity w.r.t frequency

../../_images/fig_cumu_mfp5471.png

(b) Spectral and cumulative thermal conductivity w.r.t MFP

Force constants

../../_images/fig_fc212855.png

(a) Force constants w.r.t atomic distance

Summary

../../_images/fig_kappa10378.png

(a) Temperature-dependent lattice thermal conductivity

../../_images/fig_times22285.png

(b) Computation time