mp-2911/Ba3Sn2P4/anharm

Harmonic properties

../../_images/fig_bandos_pr13277.png

(a) Phonon dispersion with participation ratio and DOS

../../_images/fig_thermo13277.png

(b) Thermodynamic properties

Grüneisen parameters

../../_images/fig_gru_all5584.png

(a) Grüneisen parameters

../../_images/fig_gruneisen5584.png

(b) Phonon dispersion with Grüneisen parameters

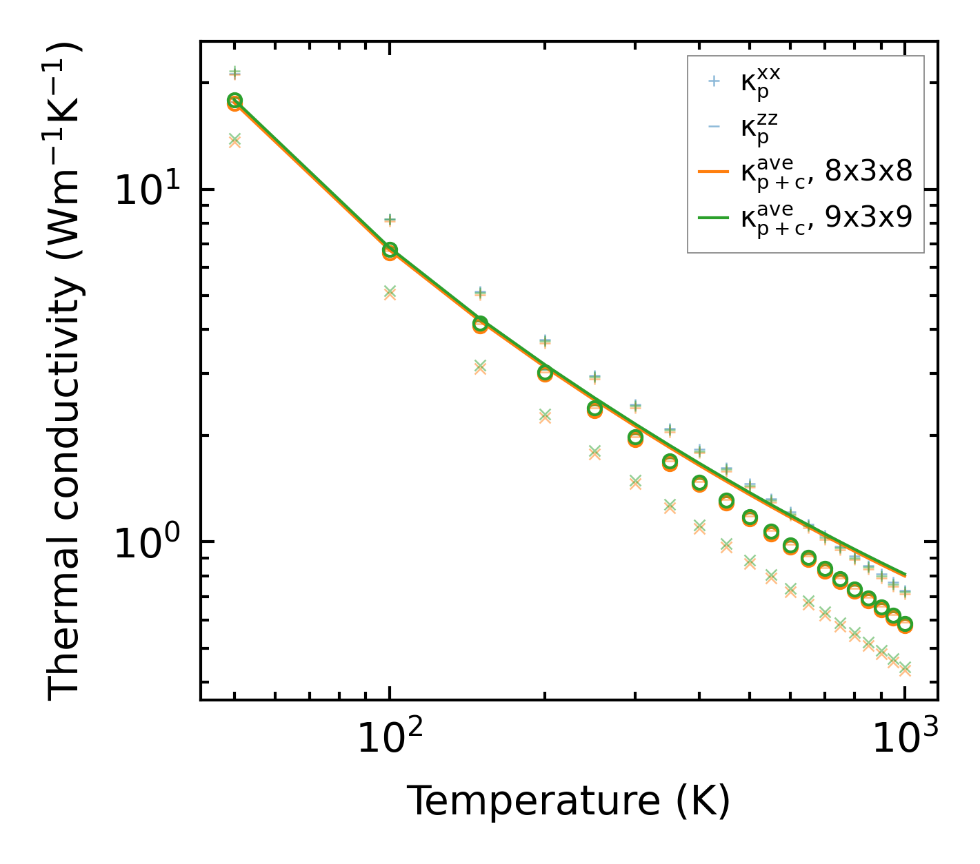
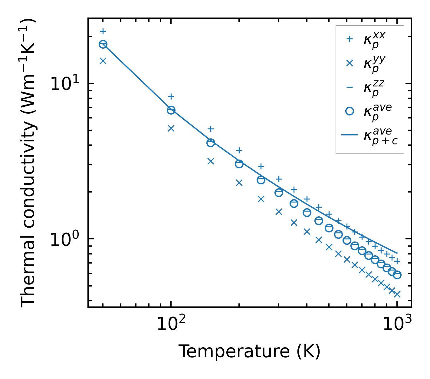
Thermal conductivity

3-phonon (LASSO) — q-mesh: 9x3x9, supercell: 2x1x2

../../_images/fig_kappa10490.png

(a) Temperature-dependent lattice thermal conductivity

../../_images/fig_kappa_vs_grain_size5648.png

(b) Peierls lattice thermal conductivity w.r.t grain size

Phonon lifetime and scattering rates

../../_images/fig_lifetime5529.png

(a) Phonon lifetime due to phonon-phonon scattering

../../_images/fig_scat_rates5528.png

(b) Phonon scattering rates

Cumulative and spectral thermal conductivity

../../_images/fig_cumu_frequency5529.png

(a) Spectral and cumulative thermal conductivity w.r.t frequency

../../_images/fig_cumu_mfp5528.png

(b) Spectral and cumulative thermal conductivity w.r.t MFP

Force constants

../../_images/fig_fc212919.png

(a) Force constants w.r.t atomic distance

Summary

../../_images/fig_kappa10491.png

(a) Temperature-dependent lattice thermal conductivity

../../_images/fig_times22392.png

(b) Computation time