mp-2884/Cs2Mn3S4/anharm

Equation of state

../../_images/fig_bm6630.png

(a) Equation of state

Harmonic properties

../../_images/fig_bandos_pr13270.png

(a) Phonon dispersion with participation ratio and DOS

../../_images/fig_thermo13270.png

(b) Thermodynamic properties

Grüneisen parameters

../../_images/fig_gru_all5577.png

(a) Grüneisen parameters

../../_images/fig_gruneisen5577.png

(b) Phonon dispersion with Grüneisen parameters

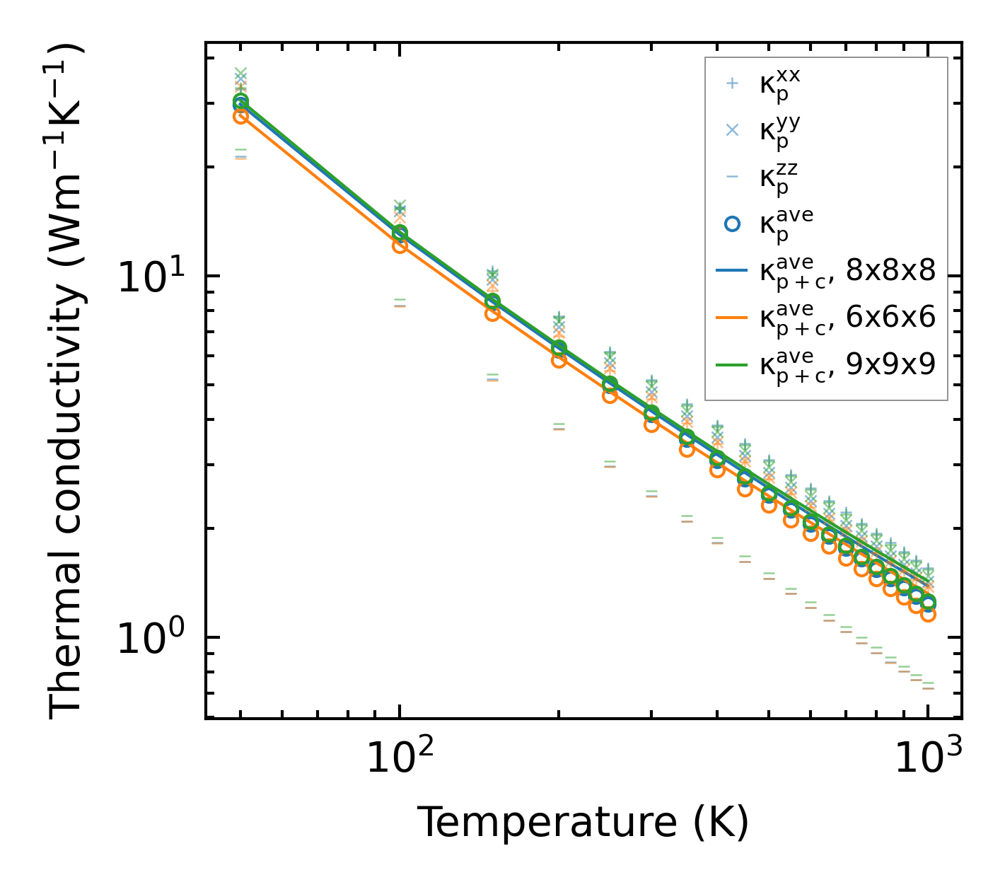
Thermal conductivity

3-phonon (LASSO) — q-mesh: 9x9x9, supercell: 2x2x1

../../_images/fig_kappa10476.png

(a) Temperature-dependent lattice thermal conductivity

../../_images/fig_kappa_vs_grain_size5641.png

(b) Peierls lattice thermal conductivity w.r.t grain size

Phonon lifetime and scattering rates

../../_images/fig_lifetime5522.png

(a) Phonon lifetime due to phonon-phonon scattering

../../_images/fig_scat_rates5521.png

(b) Phonon scattering rates

Cumulative and spectral thermal conductivity

../../_images/fig_cumu_frequency5522.png

(a) Spectral and cumulative thermal conductivity w.r.t frequency

../../_images/fig_cumu_mfp5521.png

(b) Spectral and cumulative thermal conductivity w.r.t MFP

Force constants

../../_images/fig_fc212913.png

(a) Force constants w.r.t atomic distance

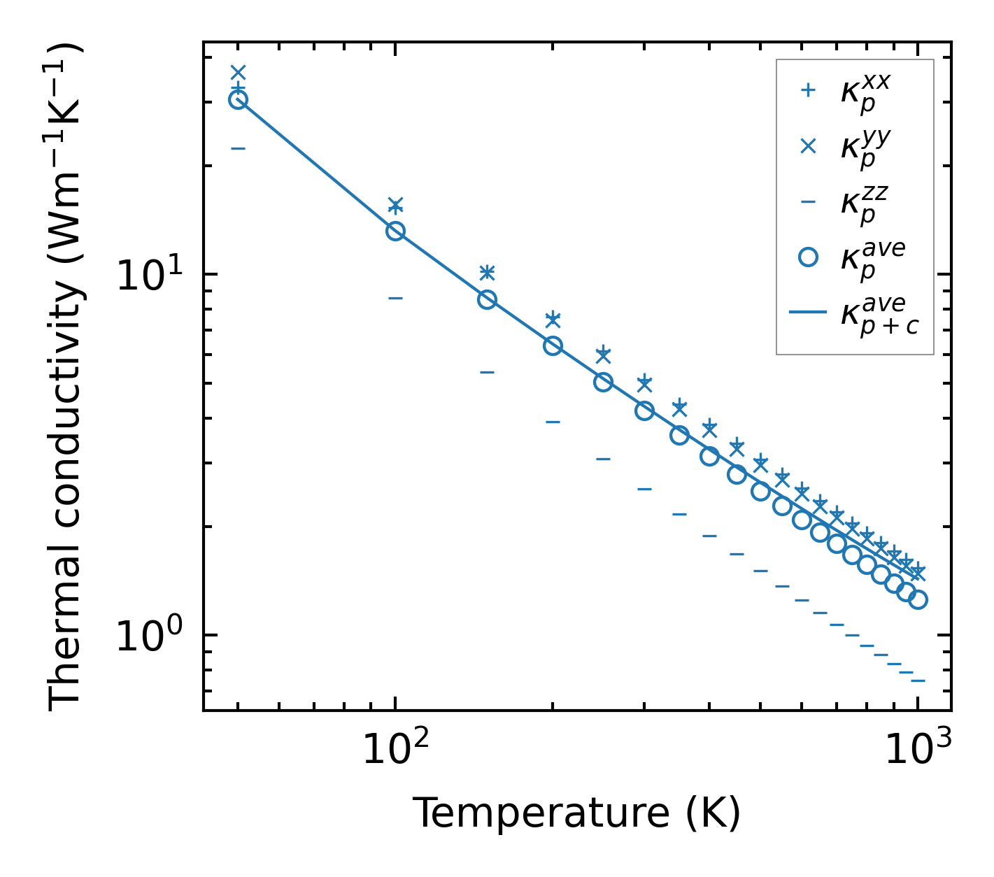
Summary

../../_images/fig_kappa10477.png

(a) Temperature-dependent lattice thermal conductivity

../../_images/fig_times22382.png

(b) Computation time