mp-2574-2/ZrO2/anharm

Equation of state

../../_images/fig_bm6610.png

(a) Equation of state

Harmonic properties

../../_images/fig_bandos_pr13228.png

(a) Phonon dispersion with participation ratio and DOS

../../_images/fig_thermo13228.png

(b) Thermodynamic properties

Grüneisen parameters

../../_images/fig_gru_all5544.png

(a) Grüneisen parameters

../../_images/fig_gruneisen5544.png

(b) Phonon dispersion with Grüneisen parameters

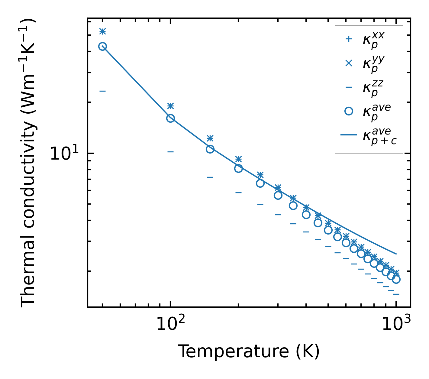
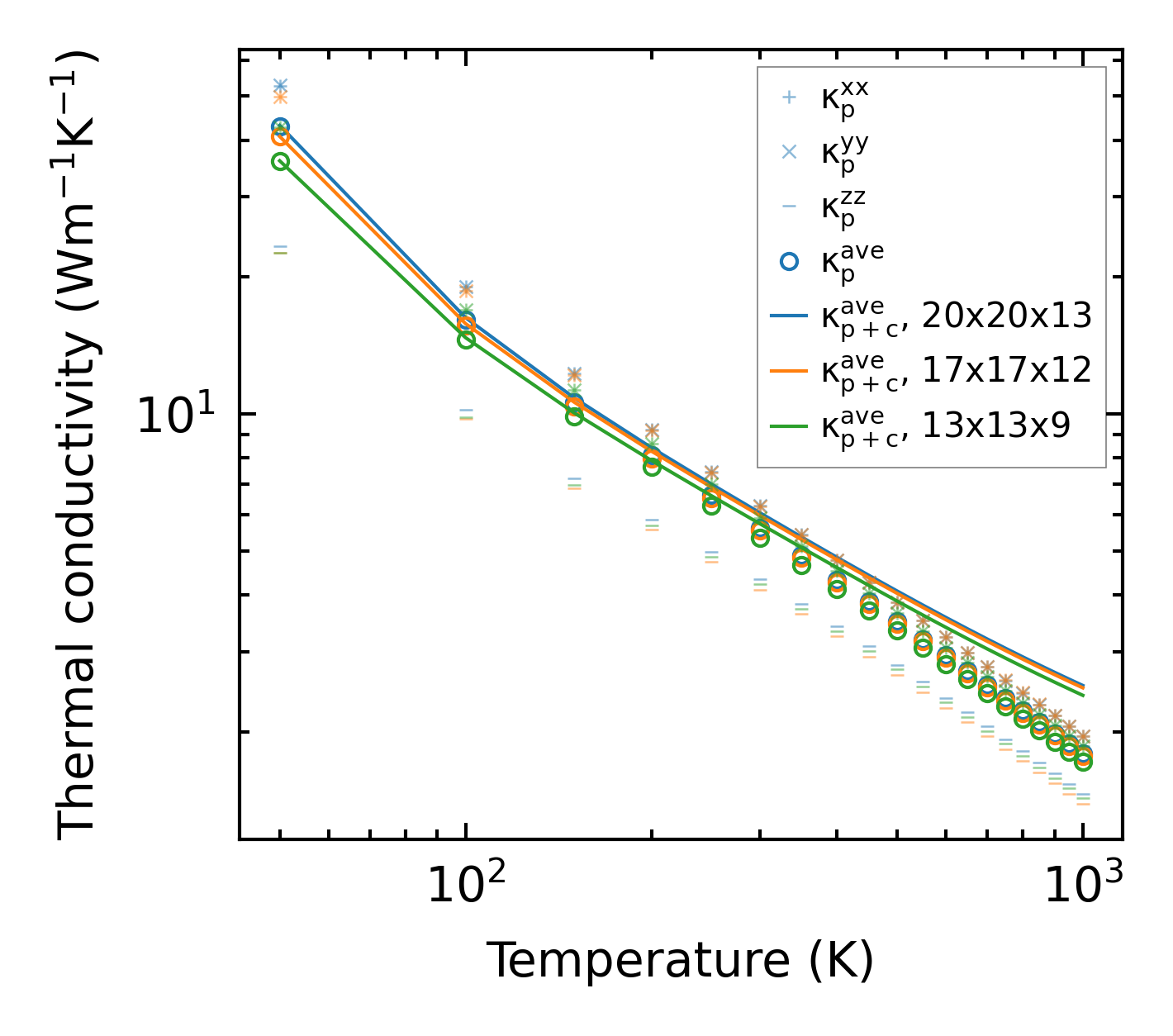
Thermal conductivity

3-phonon (LASSO) — q-mesh: 20x20x13, supercell: 3x3x2

../../_images/fig_kappa10413.png

(a) Temperature-dependent lattice thermal conductivity

../../_images/fig_kappa_vs_grain_size5609.png

(b) Peierls lattice thermal conductivity w.r.t grain size

Phonon lifetime and scattering rates

../../_images/fig_lifetime5490.png

(a) Phonon lifetime due to phonon-phonon scattering

../../_images/fig_scat_rates5489.png

(b) Phonon scattering rates

Cumulative and spectral thermal conductivity

../../_images/fig_cumu_frequency5490.png

(a) Spectral and cumulative thermal conductivity w.r.t frequency

../../_images/fig_cumu_mfp5489.png

(b) Spectral and cumulative thermal conductivity w.r.t MFP

Force constants

../../_images/fig_fc212879.png

(a) Force constants w.r.t atomic distance

Summary

../../_images/fig_kappa10414.png

(a) Temperature-dependent lattice thermal conductivity

../../_images/fig_times22320.png

(b) Computation time